



Ilantimod
CAS 2242464-44-2
MF C18H18ClN5O3 MW 387.82
6-(4-chlorophenyl)-N-[(2S)-1-hydroxypropan-2-yl]-2-(1-methyl-1H-pyrazol-4-yl)-3-oxo-2,3-dihydropyridazine-4-carboxamide
(S)-6-(4-chlorophenyl)-N-(1-hydroxypropan-2-yl)-2-(1-methyl-1H-pyrazol-4-yl)-3-oxo-2,3-dihydropyridazine-4-carboxamide
immunomodulator, BAY-2416964, BAY 2416964, Y87V4WXQ4Z
Ilantimod is an orally available formulation containing a small molecule antagonist of the aryl hydrocarbon receptor (AhR; class E basic helix-loop-helix protein 76; bHLHe76) with potential immunomodulating and antineoplastic activities. Upon oral administration, ilantimod specifically binds to AhR, inhibits AhR activation, and prevents AhR-mediated signaling. Abrogation of AhR activation prevents the activation of immune-tolerant dendritic cells (DCs) and regulatory T-cells (Tregs) in the tumor microenvironment (TME). This may restore the immune response against tumor cells. AhR, a member of the basic helix-loop-helix/Per-Arnt-Sim (bHLH/PAS) family of transcription factors, has important roles in regulating immunity and cellular differentiation. AhR can exhibit both pro-oncogenic and tumor suppressor-like functions depending on the tumor type; therefore, its expression may serve as a negative or positive prognostic factor.
- A Study to Learn How Safe the Study Drug BAY 2416964 (AhR Inhibitor) in Combination With the Treatment Pembrolizumab is, How This Combination Affects the Body, the Maximum Amount That Can be Given, How it Moves Into, Through and Out of the Body and Its Action Against Advanced Solid Cancers in AdultsCTID: NCT04999202Phase: Phase 1Status: TerminatedDate: 2025-02-10
- A First-in-Humans Dose Finding Study for an Aryl Hydrocarbon Receptor Inhibitor (AhRi) in Patients With Advanced CancerCTID: NCT04069026Phase: Phase 1Status: CompletedDate: 2024-03-06
SYN
https://patentscope.wipo.int/search/en/detail.jsf?docId=WO2018146010&_cid=P11-MHAFJG-41587-1


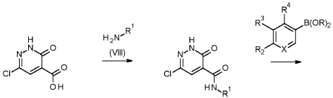
Example 17
6-(4-Chlorophenyl)-/V-[(2S)-1 -hydroxypropan-2-yl]-2-(1 -methyl-1 H-pyrazol-4-yl)-3-oxo-2,3-dihydropyridazine-4-carboxamide

A solution of 80 mg intermediate 1 1 , 29.1 mg (2S)-2-aminopropan-1 -ol, 1 10 mg HATU and 0.1 mL ethyldiisopropylamine in 5 mL of DMF was stirred at room temperature for 14 hours. Then the reaction was quenched by water, and the mixture was extracted with dichloromethane two times. The combined organic phases were dried over sodium sulfate and evaporated to dryness. The residue was subjected to RP-HPLC ((column: X-Bridge C18 5μηι 100x30mm, mobile phase: acetonitrile / water (0.1 vol% formic acid)-gradient)) to yield 50 mg 6-(4-chlorophenyl)-/V-[(2S)-1 -hydroxypropan-2-yl]-2-(1 -methyl-1 H-pyrazol-4-yl)-3-oxo-2,3-dihydropyridazine-4-carboxamide
1H-NMR (400 MHz, CDC ): δ [ppm] = 1.34 (d, 3H); 2.73-2.82 (m, 1 H); 3.66-3.73 (m, 1 H); 3.77-3.84 (m, 1 H); 3.98 (s, 3H); 4.26-4.36 (m, 1 H); 7.49 (d, 2H); 7.87 (d, 2H); 8.12 (s, 1 H); 8.33 (s, 1 H); 8.69 (s, 1 H); 9.82 (bd, 1 H).
PAT
https://patentscope.wipo.int/search/en/detail.jsf?docId=US438191125&_cid=P11-MHAFQQ-47913-1
SEE EX 17
PAT
- 2-Heteroaryl-3-oxo-2,3-dihydropyridazine-4-carboxamide for the treatment of cancerPublication Number: KR-102627266-B1Priority Date: 2017-02-09Grant Date: 2024-01-24
- 2-heteroaryl-3-oxo-2,3-dihydropyridazine-4-carboxamides for the treatment of cancerPublication Number: US-11795164-B2Priority Date: 2017-02-09Grant Date: 2023-10-24
- 2-heteroaryl-3-oxo-2,3-dihydropyridazine-4-carboxamides for the treatment of cancerPublication Number: US-2024294505-A1Priority Date: 2017-02-09
- 2-heteroaryl-3-oxo-2,3-dihydropyridazine-4-carboxamidesPublication Number: TW-I770113-BPriority Date: 2017-02-09Grant Date: 2022-07-11
- 2-Heteroaryl-3-oxo-2,3-dihydropyridazine-4-carboxamides for the treatment of cancerPublication Number: CN-110678459-BPriority Date: 2017-02-09Grant Date: 2023-04-04
- 2-heteroaryl-3-oxo-2,3-dihydropyridazine-4-carboxamides for the treatment of cancerPublication Number: US-2023121195-A1Priority Date: 2017-02-09
- 2-Heteroaryl-3-oxo-2,3-dihydropyridazine-4-carboxamides for the treatment of cancerPublication Number: CN-116531380-APriority Date: 2017-02-09
- 2-Heteroaryl-3-oxo-2,3-dihydropyridazine-4-carboxamides for the treatment of cancerPublication Number: CN-116554152-APriority Date: 2017-02-09
- 2-heteroaryl-3-oxo-2,3-dihydropyridazine-4-carboxamides for the treatment of cancerPublication Number: WO-2018146010-A1Priority Date: 2017-02-09
- 2-heteroaryl-3-oxo-2,3-dihydropyridazine-4-carboxamides for the treatment of cancerPublication Number: EP-3580211-B1Priority Date: 2017-02-09Grant Date: 2020-12-02
- 2-HETEROARYL-3-OXO-2,3-DIHYDROPYRIDAZINE-4-CARBOXAMIDES FOR THE TREATMENT OF CANCERPublication Number: HR-P20210143-T1Priority Date: 2017-02-09
- 2-heteroaryl-3-oxo-2,3-dihydropyridazine-4-carboxamides for the treatment of cancerPublication Number: AU-2018217860-B2Priority Date: 2017-02-09Grant Date: 2021-07-08
- 2-Troaril-3-oxo-3,2-dihydropyridazine-4-carboxamides for the treatment of cancerPublication Number: IL-268469-APriority Date: 2017-02-09
- 2-heteroaryl-3-oxo-2,3-dihydropyridazine-4-carboxamides for the treatment of cancerPublication Number: CA-3052718-A1Priority Date: 2017-02-09
- 2-Heteroaryl-3-oxo-2,3-dihydropyridazine-4-carboxamide for the treatment of cancerPublication Number: CN-110678459-APriority Date: 2017-02-09
- 2-heteroaryl-3-oxo-2,3-dihydropyridazine-4-carboxamides for the treatment of cancerPublication Number: EP-3580211-A1Priority Date: 2017-02-09
- 2-heteroaryl-3-oxo-2,3-dihydropyridazine-4-carboxamide for the treatment of cancerPublication Number: KR-20190115460-APriority Date: 2017-02-09
- 2-heteroaryl-3-oxo-2,3-dihydropyridazine-4-carboxamidePublication Number: TW-201840549-APriority Date: 2017-02-09
- Combination of an ahr-inhibitor and an pd1-inhibitor antibody and its use in the treatment of cancerPublication Number: EP-4076462-A1Priority Date: 2019-12-16
- Combinations of AHR inhibitors and PD1 inhibitor antibodies and their use in the treatment of cancerPublication Number: JP-2023505907-APriority Date: 2019-12-16
- Combinations of AHR-inhibitors and PD1-inhibitor antibodies and their use in the treatment of cancerPublication Number: KR-20220128622-APriority Date: 2019-12-16
- Combination of an ahr-inhibitor and an pd1-inhibitor antibody and its use in the treatment of cancerPublication Number: US-2023084899-A1Priority Date: 2019-12-16
- 2-heteroaryl-3-oxo-2,3-dihydropyridazine-4-carboxamides for the treatment of cancerPublication Number: AU-2018217860-A1Priority Date: 2017-02-09
- Methods and compositions for treating inflammatory and fibrotic pulmonary disordersPublication Number: US-2021401987-A1Priority Date: 2020-03-20
- Methods and compositions for treating inflammatory and fibrotic pulmonary disordersPublication Number: EP-4121111-A1Priority Date: 2020-03-20
- Combination of an ahr-inhibitor and an pd1-inhibitor antibody and its use in the treatment of cancerPublication Number: WO-2021122434-A1Priority Date: 2019-12-16
- Combination of an AhR-inhibitor and an PD1-inhibitor antibody and its use in the treatment of cancerPublication Number: AU-2020403801-A1Priority Date: 2019-12-16
- Combinations of AHR inhibitor and PD1 inhibitor antibodies and their use in cancer therapyPublication Number: CN-114786674-APriority Date: 2019-12-16
- Compositions and methods for treating myelin deficiency by rejuvenating glial progenitor cellsPublication Number: US-2023190961-A1Priority Date: 2021-10-20
- Prophylactic or therapeutic agent for severe pulmonary hypertension, refractory pulmonary hypertension, or drug-induced pulmonary hypertensionPublication Number: WO-2022149605-A1Priority Date: 2021-01-08
- Deuterated 2-arylheterocycle-3-oxo-2,3-dihydropyridazine-4-carboxamide inhibitor and preparation method therefor and application thereofPublication Number: EP-4253374-A1Priority Date: 2020-11-27
- Heteroaromatic ahr inhibitorPublication Number: WO-2022078356-A1Priority Date: 2020-10-15
- Methods and compositions for treating inflammatory and fibrotic pulmonary disordersPublication Number: WO-2021188849-A1Priority Date: 2020-03-20



AS ON JUNE2025 4.45 LAKHS VIEWS ON BLOG WORLDREACH AVAILABLEFOR YOUR ADVERTISEMENT

join me on Linkedin
Anthony Melvin Crasto Ph.D – India | LinkedIn
join me on Researchgate
RESEARCHGATE

join me on Facebook
Anthony Melvin Crasto Dr. | Facebook
join me on twitter
Anthony Melvin Crasto Dr. | twitter
+919321316780 call whatsaapp
EMAIL. amcrasto@gmail.com

……
///////////Ilantimod, immunomodulator, BAY-2416964, BAY 2416964, Y87V4WXQ4Z














