


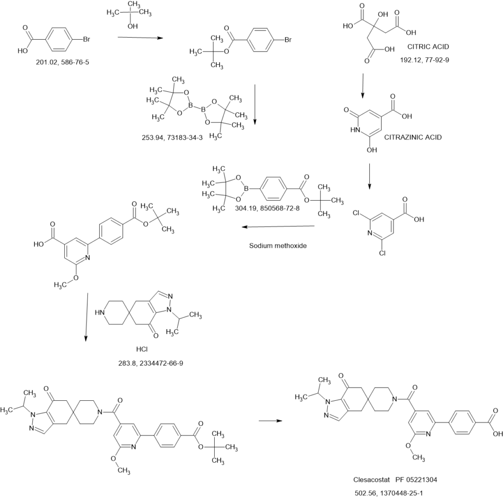
Clesacostat
PF 05221304, 752DF9PPPI
CAS 1370448-25-1
WeightAverage: 502.571
Monoisotopic: 502.221620082
Chemical FormulaC28H30N4O5
4-[6-methoxy-4-(7-oxo-1-propan-2-ylspiro[4,6-dihydroindazole-5,4′-piperidine]-1′-carbonyl)pyridin-2-yl]benzoic acid
- Originator Pfizer
- ClassBenzoic acids; Carboxylic acids; Ethers; Hepatoprotectants; Indazoles; Piperidines; Pyridines; Small molecules; Spiro compounds
- Mechanism of ActionAcetyl-CoA carboxylase inhibitors
- Phase IINon-alcoholic fatty liver disease; Non-alcoholic steatohepatitis
- 21 Feb 2024Pfizer completes a phase II trial in Non-alcoholic steatohepatitis (Combination therapy) in Slovakia, Japan, Bulgaria, Canada, China, Hong Kong, India, Poland, Puerto Rico, South Korea, Taiwan (PO) (NCT04321031) (EudraCT2019-004775-39)
- 26 May 2022Clesacostat – Pfizer receives Fast Track designation for Non-alcoholic steatohepatitis [PO] (Combination therapy) in USA
- 28 Apr 2022Pfizer completes a phase II trial for Non-alcoholic fatty liver disease (Combination therapy) in USA and Canada (PO) (NCT04399538)
Clesacostat is under investigation in clinical trial NCT04321031 (Metabolic Interventions to Resolve Non-alcoholic Steatohepatitis (NASH) With Fibrosis (MIRNA)).
CLESACOSTAT is a small molecule drug with a maximum clinical trial phase of II (across all indications) and has 4 investigational indications.
SCHEME
SIDECHAIN

MAIN

PATENT
WO2021171164 89%
https://patentscope.wipo.int/search/en/detail.jsf?docId=WO2021171164&_cid=P20-MAF4R3-69728-1
4-(4-(1-lsopropyl-7-oxo-1 ,4,6,7-tetrahydrospiro[indazole-5,4′-piperidine]-1′-carbonyl)-6-methoxypyridin-2-yl)benzoic acid,
A preparation of (S)- 2-(5-((3-ethoxypyridin-2-yl)oxy)pyridin-3-yl)-N-(tetrahydrofuran-3-yl)pyrimidine-5-carboxamide is presented in Example 1 of US 2018-0051012A1 , hereby incorporated herein by reference in its entireties for all purposes. A preparation of 4-(4-(1-lsopropyl-7-oxo-1 ,4,6,7-tetrahydrospiro[indazole-5,4′-piperidine]-1 ‘-carbonyl)-6-methoxypyridin-2-yl)benzoic acid is in Example 9 of US 8,859,577, hereby incorporated herein by reference in its entireties for all purposes. Preparation of [(1 R,5S,6R)-3-{2-[(2S)-2-methylazetidin-1-yl]-6-(trifluoromethyl)pyrimidin-4-yl}-3-azabicyclo[3.1 0]hex-6-yl]acetic acid (including a crystalline free acid form thereof) is described in Example 4 of U.S. Patent No. 9,809,579. Preparation of GLP-1 R agonists are described in U.S. Patent No.10,208,019.
Step 6: (S)-2-(5-((3-ethoxypyridin-2-yl)oxy)pyridin-3-yl)-N-(tetrahydrofuran-3-yl)pyrimidine-5-carboxamide (Example 1 (DGAT2i Compound))
Oxalyl chloride (13.8 ml_, 160 mmol, 1.2 equiv) and dimethylformamide (0.510 ml_, 6.65 mmol, 0.05 equiv) were added to a suspension of 2-(5-((3-ethoxypyridin-2-yl)oxy)pyridin-3-yl)pyrimidine-5-carboxylic acid (45.0 g, 133 mmol, 1.0 equiv) in dichloromethane (500 ml_). The suspension was stirred for 2 hours when a solution was achieved. The reaction mixture was concentrated to yield crude acid chloride as a red solid. A solution of (S)-tetrahydrofuran-3-amine (12.2 g, 140 mmol, 1.05 equiv) and diisopropylethylamine (51.0 ml_, 293 mmol, 2.2 equiv) in tetrahydrofuran (100 ml_) was added dropwise to a solution of the crude acid chloride in dichloromethane (200 ml_) at 0 °C. The reaction was allowed to warm to room temperature and stirred for 16 hours. Water (1 .0 L) and ethyl acetate (600 ml_) were added and the organic layer was separated, washed with saturated sodium bicarbonate, dried over magnesium sulfate, and filtered. The filtrate was treated with activated charcoal (20 g) was stirred at 65 °C for 20 minutes. The suspension was filtered warm and filtrate was concentrated to a pale, yellow solid which was recrystallized from methanol in ethyl acetate (1 :4, 1 L) to yield (S)-2-(5-((3-ethoxypyridin-2-yl)oxy)pyridin-3-yl)-A/-(tetrahydrofuran-3-yl)pyrimidine-5-carboxamide (43.5 g, 81%) as a colorless solid. The title compound was combined with previous batches (108.7 g, 266.8 mmol) prepared in the same manner and slurried with ethyl acetate (1.0 L) at 80 °C for 4 hours. The suspension was allowed to cool to room temperature and stirred for 4 days. The solid was filtered, washed with ethyl acetate (3×200 ml_) and dried under high vacuum at 50 °C for 24 hours to yield (S)-2-(5-((3-ethoxypyridin-2-yl)oxy)pyridin-3-yl)-A/-(tetrahydrofuran-3-yl)pyrimidine-5-carboxamide (100.5 g, 92%) as a colorless solid. 1H NMR (300 MHz, DMSO-d6) 6 1.38 (t, 3H), 1.89-1.98 (m, 1H), 2.15-2.26 (m, 1H), 3.65 (dd, 1H), 3.70-3.78 (m, 1H), 3.85-3.92 (m, 2H), 4.18 (q, 2H), 4.46-4.55 (m, 1H), 7.18 (dd, 1H), 7.58 (dd, 1H), 7.69 (dd, 1H), 8.37 (dd,
1 H), 8.64 (d, 1 H), 8.95 (d, 1 H), 9.28 (s, 2H), 9.39 (d, 1 H). MS (ES+) 408.4 (M+H). Melting point 177.5 °C. Elemental analysis for C21H21N5O4: calculated C, 61.91 ; H, 5.20; N, 17.19; found C, 61.86; H, 5.18; N, 17.30.
PATENT
WO2021171163 65%
WO2020234726 65%
Journal of Medicinal Chemistry (2020), 63(19), 10879-10896
WO2020044266 89%
WO2019102311 89%
//////////Clesacostat, PF 05221304, PHASE 2, 752DF9PPPI














