MCC 950
256373-96-3 (sodium salt); 210826-40-7 (free form).
MCC950; CP-456773; CAS 210826-40-7; DSSTox_CID_27301; DSSTox_RID_82252; DSSTox_GSID_47301;
CP-456,773; CRID3
1-(1,2,3,5,6,7-hexahydro-s-indacen-4-yl)-3-[4-(2-hydroxypropan-2-yl)furan-2-yl]sulfonylurea
| C20H24N2O5S | |
| Molecular Weight: | 404.47996 g/mol |
|---|
CP-456773, also known as MCC950 and CRID3, is a potent and selective cytokine release inhibitor and NLRP3 inflammasome inhibitor for the treatment of inflammatory diseases. CP-456773 inhibits interleukin 1β (IL-1β) secretion and caspase 1 processing. MCC950 blocked canonical and noncanonical NLRP3 activation at nanomolar concentrations. MCC950 specifically inhibited activation of NLRP3 but not the AIM2, NLRC4 or NLRP1 inflammasomes. MCC950 reduced interleukin-1β (IL-1β) production in vivo and attenuated the severity of experimental autoimmune encephalomyelitis (EAE), a disease model of multiple sclerosis. MCC950 is a potential therapeutic for NLRP3-associated syndromes, including autoinflammatory and autoimmune diseases, and a tool for further study of the NLRP3 inflammasome in human health and disease.

| Formula | C20H23N2NaO5S |
|---|---|
| MW | 426.5 |
| CAS | 256373-96-3 |
sodium ((1,2,3,5,6,7-hexahydro-s-indacen-4-yl)carbamoyl)((4-(2-hydroxypropan-2-yl)furan-2-yl)sulfonyl)amide

PAPER
Identification, Synthesis, and Biological Evaluation of the Major Human Metabolite of NLRP3 Inflammasome Inhibitor MCC950
Abstract

MCC950 is an orally bioavailable small molecule inhibitor of the NOD-like receptor pyrin domain-containing protein 3 (NLRP3) inflammasome that exhibits remarkable activity in multiple models of inflammatory disease. Incubation of MCC950 with human liver microsomes, and subsequent analysis by HPLC–MS/MS, revealed a major metabolite, where hydroxylation of MCC950 had occurred on the 1,2,3,5,6,7-hexahydro-s-indacene moiety. Three possible regioisomers were synthesized, and coelution using HPLC–MS/MS confirmed the structure of the metabolite. Further synthesis of individual enantiomers and coelution studies using a chiral column in HPLC–MS/MS showed the metabolite was R-(+)- N-((1-hydroxy-1,2,3,5,6,7-hexahydro-s-indacen-4-yl)carbamoyl)-4-(2-hydroxypropan-2-yl)furan-2-sulfonamide (2a). Incubation of MCC950 with a panel of cytochrome P450 enzymes showed P450s 2A6, 2C9, 2C18, 2C19, 2J2, and 3A4 catalyze the formation of the major metabolite 2a, with a lower level of activity shown by P450s 1A2 and 2B6. All of the synthesized compounds were tested for inhibition of NLRP3-induced production of the pro-inflammatory cytokine IL-1β from human monocyte derived macrophages. The identified metabolite 2a was 170-fold less potent than MCC950, while one regioisomer had nanomolar inhibitory activity. These findings also give first insight into the SAR of the hexahydroindacene moiety.
PATENT
WO 2001019390
http://www.google.co.in/patents/WO2001019390A1?cl=en
Synthesis of precursors will be update soon……………
Novel synthesis of 1-(1,2,3,5,6,7-hexahydro-s-indacen-4-yl)-3-[4-(1-hydroxy-1-methylethyl)furan-2-sulfonyl]urea, an antiinflammatory agentPAPER
Synthetic Communications (2003), 33, (12), 2029-2043.
http://dx.doi.org/10.1081/SCC-120021029
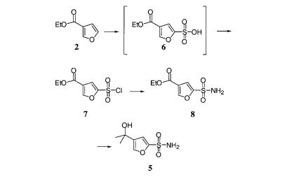
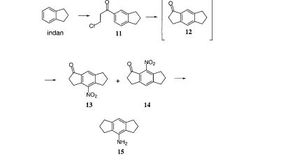
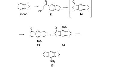
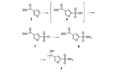
A novel synthesis of the anti-inflammatory agent 1-(1,2,3,5,6,7- hexahydro-s-indacen-4-yl)-3-[4-(1-hydroxy-1-methyl-ethyl)-furan-2-sulfonyl] urea 1 is described. Sulfonamide 5 was prepared starting from ethyl 3-furoate 2. Key steps were a one-pot sulfonylation with chlorosulfonic acid in methylene chloride followed by pyridinium salt formation and reaction with phosphorus pentachloride to provide ethyl 2-(chlorosulfonyl)-4-furoate 7. This sulfonyl chloride was treated with ammonium bicarbonate to form sulfonamide 8, followed by treatment with excess methyl magnesium chloride to provide 4-(1-hydroxy-1-methyl-ethyl)-furan-2-sulfonamide 5. 4-Isocyanato-1,2,3,5,6,7-hexahydro-s-indacene 16 was prepared from indan in five steps. The formation of the desired sulfonyl urea was carried out both with the isolated isocyanate 16 and via an in situ method.
1-(1,2,3,5,6,7-Hexahydro-s-indacen-4-yl)-3-[4-(1-hydroxy-1-methylethyl)-furan-2-sulfonylurea 1 has been in development for treatment of inflammation. [1] The synthetic route to furan sulfonamide 5 used by its discoverer Mark Dombroski in Medicinal Chemistry is shown in Sch. 1. The starting material was ethyl 3-furoate 2. This was treated with excess methyl magnesium chloride to provide the 3-furanyl-tertiary alcohol 3. Furan alcohol 3 was deprotonated with methyl lithium followed by s-butyl lithium at low temperature and reacted with liquid sulfur dioxide to generate sulfinic acid 4. Without isolation, sulfinic acid 4 was oxidized to sulfonamide 5 with hydroxylamine O-sulfinic acid via a procedure described by workers at Merck.[2] We were interested in finding a synthesis of furan sulfonamide 5 and its conversion to sulfonylurea 1 that would be suitable for scale up. In this article, we describe the discovery of a better bulk process to sulfonamide 5 from the same starting material and a procedure to form the desired sulfonylurea without isolating the isocyanate of 4-amino-1,2,3,5,6,7-hexahydro-s-indacene.
1-(1,2,3,5,6,7-Hexahydro-s-indacen-4-yl)-3-[4-(1-hydroxy- 1-methyl-ethyl)-furan-2-sulfonyl Urea (1) ………….. anhydrous sodium salt weighed 4.9 g. mp 239 C. 1 H NMR (D2O, 400 MHz) 7.35 (s, 1), 6.81 (s, 1), 6.65 (s, 1), 2.53 (m, 4), 2.41 (m, 4), 1.73 (m, 4), 1.31 (s, 6). 13C NMR (D2O, 100 MHz) 159.87, 151.82, 143.89, 140.49, 138.77, 134.87, 129.58, 118.38, 112.02, 68.24, 32.67, 30.10, 29.53, 25.34. Anal. calcd. for C20H23N2O5SNa: C, 56.33; H, 5.44; N, 6.57; S, 7.52. Found: C, 56.19; H, 5.40; N, 6.34; S, 7.42. N
CLIPS

Dr Rebecca Coll, PostDoctoral Researcher, Inflammasome Lab, UQ Fellow
Email: r.coll@imb.uq.edu.au
Office Telephone: +61 7 3346 2351
Lab Telephone: +61 7 3346 2071
A collaboration between scientists from Dublin’s Trinity College (Ireland) and the University of Queensland (Australia) identified a compound able to inhibit an inflammatory process common to many diseases, including Alzheimer’s disease. The study entitled “A small-molecule inhibitor of the NLRP3 inflammasome for the treatment of inflammatory diseases” was published on line in the journal Nature Medicine.
Pathogenesis of several diseases, including Alzheimer’s, have a strong inflammatory component. Inflammatory processes can be triggered by molecules of the NOD-like receptor (NLR) family such as NLRP3. Once activated, this molecule leads to a cascade of events known as the NLRP3 inflammasome that ultimately causes the production of inflammatory factors. Aberrant activation of NLRP3 is responsible for increased inflammatory responses in complex diseases such as multiple sclerosis, Muckle-Wells syndrome, type 2 diabetes, Alzheimer’s disease and atherosclerosis.
Targeting this molecule can overcome the side effects of other anti-inflammatory drugs commonly used: “Drugs like aspirin or steroids can work in several diseases, but can have side effects or be ineffective. What we have found is a potentially transformative medicine, which targets what appears to be the common disease-causing process in a myriad of inflammatory diseases,” said Luke A J O’Neill, one of the team leaders.
Previous studies identified NLRP3 inhibitors, though neither very potent nor specific. This research team now identified a specific inhibitor of NLRP3 inflammasome, the molecule MCC950. They observed that it inhibits NLRP3 in mouse models of multiple sclerosis with consequent attenuation of disease progression. MCC950 also blocks production of inflammatory factors in blood samples from patients with a severe inflammatory disorder, Muckle-Wells syndrome. These results demonstrated the pharmaceutical potential of this specific NLRP3 inhibitor.
“MCC950 is blocking what was suspected to be a key process in inflammation. There is huge interest in NLRP3 both among medical researchers and pharmaceutical companies and we feel our work makes a significant contribution to the efforts to find new medicines to limit it,” said Rebecca Coll, the paper’s first author.
The researchers were able to demonstrate the potential of MCC950 in multiple sclerosis, an inflammatory disease of the central nervous system (CNS). However, the target for MCC950 is strongly implicated in other diseases of the CNS such as Alzheimer’s and Parkinson’s diseases indicating that it has the potential to treat all of these conditions. The fact that MCC950 can be orally administered further enhances the potential of this molecule as a therapeutic drug.
“MCC950 is able to be given orally and will be cheaper to produce than current protein-based treatments, which are given daily, weekly, or monthly by injection. Importantly, it will also have a shorter duration in the body, allowing clinicians to stop the anti-inflammatory action of the drug if the patient ever needed to switch their immune response back to 100% in order to clear an infection.” said Matt Cooper, chemist and also co-senior author in this study.
REFERENCES
1: Shao BZ, Xu ZQ, Han BZ, Su DF, Liu C. NLRP3 inflammasome and its inhibitors: a review. Front Pharmacol. 2015 Nov 5;6:262. doi: 10.3389/fphar.2015.00262. eCollection 2015. Review. PubMed PMID: 26594174; PubMed Central PMCID: PMC4633676.
2: Baker PJ, Boucher D, Bierschenk D, Tebartz C, Whitney PG, D’Silva DB, Tanzer MC, Monteleone M, Robertson AA, Cooper MA, Alvarez-Diaz S, Herold MJ, Bedoui S, Schroder K, Masters SL. NLRP3 inflammasome activation downstream of cytoplasmic LPS recognition by both caspase-4 and caspase-5. Eur J Immunol. 2015 Oct;45(10):2918-26. doi: 10.1002/eji.201545655. Epub 2015 Aug 24. PubMed PMID: 26173988.
3: Krishnan SM, Dowling JK, Ling YH, Diep H, Chan CT, Ferens D, Kett MM, Pinar A, Samuel CS, Vinh A, Arumugam TV, Hewitson TD, Kemp-Harper BK, Robertson AA, Cooper MA, Latz E, Mansell A, Sobey CG, Drummond GR. Inflammasome activity is essential for one kidney/deoxycorticosterone acetate/salt-induced hypertension in mice. Br J Pharmacol. 2016 Feb;173(4):752-65. doi: 10.1111/bph.13230. Epub 2015 Jul 31. PubMed PMID: 26103560; PubMed Central PMCID: PMC4742291.
4: Groß CJ, Groß O. The Nlrp3 inflammasome admits defeat. Trends Immunol. 2015 Jun;36(6):323-4. doi: 10.1016/j.it.2015.05.001. Epub 2015 May 16. PubMed PMID: 25991463.
5: Coll RC, Robertson AA, Chae JJ, Higgins SC, Muñoz-Planillo R, Inserra MC, Vetter I, Dungan LS, Monks BG, Stutz A, Croker DE, Butler MS, Haneklaus M, Sutton CE, Núñez G, Latz E, Kastner DL, Mills KH, Masters SL, Schroder K, Cooper MA, O’Neill LA. A small-molecule inhibitor of the NLRP3 inflammasome for the treatment of inflammatory diseases. Nat Med. 2015 Mar;21(3):248-55. doi: 10.1038/nm.3806. Epub 2015 Feb 16. PubMed PMID: 25686105; PubMed Central PMCID: PMC4392179.
| Patent ID | Date | Patent Title |
|---|---|---|
| US2016008420 | 2016-01-14 | Treatment Of HIV-1 Infection And AIDS |
| US2015343011 | 2015-12-03 | Treatment Of HIV-1 Infection And AIDS |
| US2005064519 | 2005-03-24 | Methods of using GST-Omega-2 |
| US2003143230 | 2003-07-31 | Combination of an IL-1/18 inhibitor with a TNF inhibitor for the treatment of inflammation |
| EP0964849 | 2003-06-04 | SULFONYL UREA DERIVATIVES AND THEIR USE IN THE CONTROL OF INTERLEUKIN-1 ACTIVITY |
| US6433009 | 2002-08-13 | Sulfonyl urea derivatives and their use in the control of interleukin-1 activity |
| US6166064 | 2000-12-26 | Sulfonyl urea derivatives and their use in the control of interleukin-1 activity |
| US6022984 | 2000-02-08 | Efficient synthesis of furan sulfonamide compounds useful in the synthesis of new IL-1 inhibitors |
| EP0976742 | 2000-02-02 | A synthesis of furan sulfonamide compounds useful in the synthesis of IL-1 inhibitors |
| WO9832733 | 1998-07-30 | SULFONYL UREA DERIVATIVES AND THEIR USE IN THE CONTROL OF INTERLEUKIN-1 ACTIVITY |
/////////cytochrome P450, inflammasome, MCC950, metabolite, microsome, NLRP3, MCC950, CP-456,773, CRID3, 256373-96-3, 210826-40-7 ,
CC(C)(C1=COC(=C1)S(=O)(=O)NC(=O)NC2=C3CCCC3=CC4=C2CCC4)O


















