



Orforglipron
CAS 2212020-52-3
C48H48F2N10O5
883.0 g/mol MW
LY-3502970
- OWL833
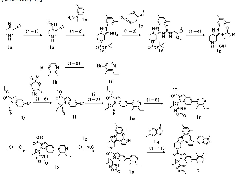
- 3-[(1S,2S)-1-[5-[(4S)-2,2-dimethyloxan-4-yl]-2-[(4S)-2-(4-fluoro-3,5-dimethylphenyl)-3-[3-(4-fluoro-1-methylindazol-5-yl)-2-oxoimidazol-1-yl]-4-methyl-6,7-dihydro-4H-pyrazolo[4,3-c]pyridine-5-carbonyl]indol-1-yl]-2-methylcyclopropyl]-4H-1,2,4-oxadiazol-5-one
- 3-[(1S,2S)-1-[5-[(4S)-2,2-dimethyloxan-4-yl]-2-[(4S)-2-(4-fluoro-3,5-dimethylphenyl)-3-[3-(4-fluoro-1-methylindazol-5-yl)-2-oxoimidazol-1-yl]-4-methyl-6,7-dihydro-4H-pyrazolo[4,3-c]pyridine-5-carbonyl]indol-1-yl]-2-methylcyclopropyl]-4H-1,2,4-oxadiazol-5-one
SCHEME

PATENT
JP2019099571
PATENT
https://patentscope.wipo.int/search/en/detail.jsf?docId=WO2018056453&_cid=P22-MCLODW-73083-1



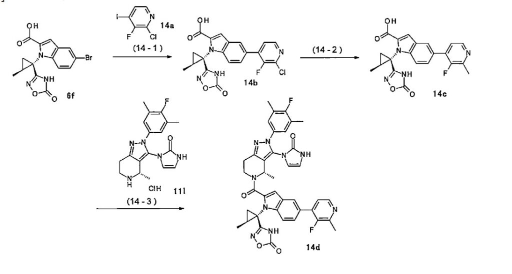
<Example Compound 67>
Main cycle isomer
1 H-NMR (600 MHz, CDCl
3 ) δ: 11.32 (1H, s), 8.13 (1H, d, J
HF=0.7 Hz), 7.59 (1H, d, J =8.6 Hz), 7.52 (1H, s), 7.48 (1H, dd, J =8.9 Hz, J
HF =6.9 Hz ), 7.28 (1H, d, J =8.9 Hz), 7.26 (1H, dd, J =8.6, 1.7 Hz), 7.16 (2H, d, J
HF =6.1Hz), 6.70 (1H, s), 6.61 (1H, dd, J = 3.0Hz,
JHF =1.1Hz), 6.31 (1H, d, J = 3.0Hz), 5.79 (1H, q, J = 6.7Hz), 4.4 7 (1H, dd, J=13.5, 5.2Hz), 4.12 (3H, s), 3.88 (1H, m), 3.83 (1 H, m), 3.60 (1H, ddd, J = 13.5, 12.9, 3.6Hz), 3.15 (1H, ddd, J = 15.8, 12.9, 5.2Hz), 3.04 (1H, m), 3.00 (1H, m), 2.29 (6H, d, J
HF =1.1Hz), 1.91 (1H, dd, J = 6.1, 5.8Hz), 1.79-1.76 ( 2H, m), 1.74 (1H, m), 1.65 (1H, m), 1.57 (3H, d, J=6.7 Hz), 1.60-1.55 (1H, m), 1.52 (1H, dd, J=9.5, 5.8Hz ), 1.34 (3H, s), 1.28 (3H, s), 1.20 (3H, d, J=6.0Hz).
[0437] Parainversion isomer
1 H-NMR (600 MHz, CDCl
3 ) δ: 11.27 (1H, s), 8.04 (1H, s), 7.55 (1H, d, J = 8.7 Hz), 7.52 (1H, s), 7.25-7.22 (2H, m), 7.12 (1H, d, J = 8.8 Hz), 7.06 (2H, d, J
HF =6.0Hz), 6.71 (1H, s), 6.47 (1H, m), 6.08 ( 1H, d, J=3.0Hz), 5.26 (1H, q, J=6.6Hz), 4. 87 (1H, dd, J = 13.1, 4.8Hz), 4.07 (3H, s), 3 .90-3.80 (2H, m), 3.39 (1H, ddd, J = 13.1, 1 2.2, 4.6Hz), 3.08-2.97 (3H, m), 2.25 (6H, s), 1.79-1.73 (3H, m), 1.67 (3H, d, J=6.6H z), 1.64 (1H, m), 1.45-1.37 (2H, m), 1.34 ( 3H, s), 1.28 (3H, s), 1.06 (3H, d, J=6.0Hz).
Orforglipron (LY-3502970) is an oral, non-peptide, small-molecule GLP-1 receptor agonist developed as a weight loss drug by Eli Lilly and Company.[1] It was discovered by Chugai Pharmaceutical Co., then was licensed to Lilly in 2018.[1]
Orforglipron is easier to produce than existing peptide GLP-1 agonists and is expected to be cheaper.[2]
Mechanism
Orforglipron is a small-molecule, partial GLP-1 receptor agonist affecting the activity of cyclic adenosine monophosphate (cAMP); its effects are similar to the actions of glucagon-like peptide-1 (GLP-1) for reducing food intake and lowering blood glucose levels.[1][3]
Clinical trials
The results of Phase I safety and Phase II ascending-dose clinical trials enrolling people with obesity or type 2 diabetes were published in 2023.[4][5]
Orforglipron has a half-life of 29 to 49 hours across the doses tested and is taken once per day by mouth without food or water restrictions.[3]
Safety and dosing trials showed that the incidence of adverse events in orforglipron-treated participants was 62–89%, mostly from gastrointestinal discomfort (44–70% with orforglipron, 18% with placebo) having mild to moderate severity.[6] The most common side effects of orforglipon are diarrhea, nausea, upset stomach, and constipation.[1][6]
The ability of orforglipron to reduce blood sugar levels and body weight was judged favorable compared to dulaglutide.[6]
Phase III ACHIEVE-1 trial
In April 2025, results from a Phase III clinical trial involving 559 people with type 2 diabetes who took an oral orforglipron pill, injectable dulaglutide or a placebo daily for 40 weeks showed that orforglipron produced a reduction in blood glucose levels by 1.3 to 1.6 percentage points from a starting level of 8%.[1][7]
More than 65% of participants taking the highest dose of orforglipron achieved a reduction of hemoglobin A1C level by more than or equal to 1.5 percentage points, bringing them into the non-diabetic range as defined by the American Diabetes Association.[1] People taking the highest dose of the pill lost 8% of their weight, or around 16 lb (7.3 kg), on average after 40 weeks.[1][8]
Side effects were similar to those seen with other GLP-1 agonists, and no significant liver problems were observed.[1]
References
- ^ Jump up to:a b c d e f g h “Lilly’s oral GLP-1, orforglipron, demonstrated statistically significant efficacy results and a safety profile consistent with injectable GLP-1 medicines in successful Phase 3 trial” (Press release). Eli Lilly. April 17, 2025. Retrieved April 18, 2025.
- ^ Sidik S (2023). “Beyond Ozempic: brand-new obesity drugs will be cheaper and more effective”. Nature. 619 (7968): 19. Bibcode:2023Natur.619…19S. doi:10.1038/d41586-023-02092-9. PMID 37369789.
- ^ Jump up to:a b Kokkorakis M, Chakhtoura M, Rhayem C, et al. (January 2025). “Emerging pharmacotherapies for obesity: A systematic review”. Pharmacological Reviews. 77 (1): 100002. doi:10.1124/pharmrev.123.001045. PMID 39952695.
- ^ Pratt E, Ma X, Liu R, et al. (June 2023). “Orforglipron (LY3502970), a novel, oral non-peptide glucagon-like peptide-1 receptor agonist: A Phase 1b, multicentre, blinded, placebo-controlled, randomized, multiple-ascending-dose study in people with type 2 diabetes”. Diabetes, Obesity & Metabolism. 25 (9): 2642–2649. doi:10.1111/dom.15150. PMID 37264711. S2CID 259022851.
- ^ Wharton S, Blevins T, Connery L, et al. (June 2023). “Daily Oral GLP-1 Receptor Agonist Orforglipron for Adults with Obesity”. The New England Journal of Medicine. 389 (10): 877–888. doi:10.1056/NEJMoa2302392. PMID 37351564.
- ^ Jump up to:a b c Frias J, et al. (2023). “Efficacy and safety of oral orforglipron in patients with type 2 diabetes: a multicentre, randomised, dose-response, phase 2 study”. The Lancet. 402 (10400): 472–83.
- ^ Constantino AK (April 17, 2025). “Eli Lilly’s weight loss pill succeeds in first late-stage trial on diabetes patients”. CNBC. Retrieved April 17, 2025.
- ^ Kolata G (April 17, 2025). “Daily Pill May Work as Well as Ozempic for Weight Loss and Blood Sugar”. The New York Times. ISSN 0362-4331. Retrieved April 17, 2025.
External links
- What to Know About Eli Lilly’s Daily Pill for Weight Loss, The New York Times, April 17, 2025
| Above: molecular structure of orforglipron Below: 3D representation of an orforglipron molecule | |
| Clinical data | |
|---|---|
| Other names | LY-3502970 |
| Routes of administration | Oral |
| ATC code | None |
| Pharmacokinetic data | |
| Elimination half-life | 29–49 hours |
| Identifiers | |
| showIUPAC name | |
| CAS Number | 2212020-52-3 |
| PubChem CID | 137319706 |
| ChemSpider | 71117507 |
| UNII | 7ZW40D021M |
| ChEMBL | ChEMBL4446782 |
| Chemical and physical data | |
| Formula | C48H48F2N10O5 |
| Molar mass | 882.974 g·mol−1 |
| 3D model (JSmol) | Interactive image |
| showSMILES | |
| showInChI | |
///////////Orforglipron, LY-3502970, LY 3502970, OWL833, OWL 833














