

Pudafensine
CAS 1320346-14-2
MFC17H19NO4 MW 301.34 g/mol
7-{[(1R,3s,5S)-8-azabicyclo[3.2.1]octan-3-yl]oxy}-3-methoxy2H-1-benzopyran-2-one
monoamine reuptake inhibitor, erectile dysfunction, neuropathic pain, NS18313, NS 18313, L9NG7US8GE, IP2015, IP 2015
Pudafensine is a monoamine reuptake inhibitor being developed as a potential treatment for erectile dysfunction (ED) and neuropathic pain. As a drug candidate, it works by preferentially inhibiting the reuptake of dopamine and serotonin. It is designed to be a first-line treatment for patients with organic ED who are not adequately served by existing therapies like PDE5 inhibitors.
How it works
- Pudafensine is a monoamine reuptake inhibitor that increases the levels of dopamine and serotonin in the brain by preventing their reabsorption into neurons.
- It has been shown in animal models and human trials to improve erectile function and reduce pain, including neuropathic pain.
Potential uses
- Erectile Dysfunction (ED): Pudafensine is being investigated for its potential to help men with organic ED who do not respond well to or cannot tolerate current treatments. Phase IIb clinical trial results are expected in late 2023.
- Neuropathic Pain: A clinical trial on pain involving pudafensine indicated it reduced allodynia and was well-tolerated with a favorable safety profile compared to pregabalin.
Development status
- Initiator Pharma is developing pudafensine as an oral tablet.
- Phase IIb studies for erectile dysfunction and Phase II studies for neuropathic pain have been completed, with positive results.
- The company is exploring its use in treating patients who are inadequately treated with existing medications.
Erectile dysfunction (ED)
Pudafensine, Initiator’s most advanced drug program has successfully demonstrated efficacy in a Clinicial Phase 2a Proof-of-Concept study and in a Phase 2b study to treat patients who suffer from organic erectile dysfunction (ED) that do not respond or cannot tolerate the currently marketed drugs in the PDE5i class (e.g. Viagra®, Cialis®, Levitra®).
Pudafensine strengthens the natural erection response by having a dual-action, both a central effect initiating erection and a peripheral effect potentiating erection through smooth muscle relaxation. Pudafensine is aimed for treatment of organic erectile dysfunction in patients who have erectile dysfunction (ED) due to abnormalities of the penile arteries and/or veins. Most common risk factors for organic ED are diabetes, overweight, lack of exercise, high cholesterol, high blood pressure, and cigarette smoking. Since Initiator Pharma was founded and pudafensine acquired, all preclinical development of the drug candidate to enable an application for clinical trials (CTA) has been carried out by the company’s auspices. Pudafensine is developed as a tablet that is taken orally on-demand. It is the company’s goal to be able to create a new “First-Line” treatment (recommended treatment) for the large group of men who have organic erectile dysfunction, who are sub-optimally treated with PDE5i products or for whom PDE5i treatment is contraindicated.
In Q4 2023 positive results from the Phase IIb clinical trial with pudafensine (IP2015) was announced. The Phase 2b trial is a randomized, double-blind, placebo-controlled, parallel-dosing group trial studying the efficacy and safety of high and low doses of pudafensine (IP2015) and placebo in otherwise healthy patients suffering from moderate to severe ED. The study comprises 130 patients divided into 3 parallel arms receiving a higher and a lower dose of pudafensine and placebo, respectively, with treatment duration of 4 weeks with frequent assessments of erectile dysfunction, safety and pharmacokinetics. The study has been conducted at the MAC clinical sites in the UK.
The study demonstrated statistically significant efficacy on the primary endpoint (related to improvements in intercourse settings) compared to placebo [p=0.034] and baseline [p=0.046]. Furthermore, the results were consistent throughout the study. Several other clinical endpoints related to improved intercourse activities (obtained from the International Index of Erectile Function Questionnaire, IIEF-15) demonstrated significant effects compared to the baseline. The frequency and type of adverse effects were mild to moderate and comparable to those observed in the placebo group. There was no reporting of critical safety observations.
Neuropathic pain
Pudafensine have shown effects in a human model of pain ie. in a clinical Phase I study in healthy subjects dosed with the drug pudafensine and challenged with a pain-inducing ingredient (capsaicin).
The Phase I study was a randomized, double blind, placebo controlled study in 24 healthy male subjects, investigating the effects on pain measures (hyperalgesia, allodynia, and subjects pain rating) of single doses of pudafensine, pregabalin as an active control, and placebo. The pain was induced by intradermal capsaicin. Pudafensine demonstrated a statistically significant effect on allodynia (p=0.049) and showed a dose-dependent effect on the measured pain parameters. Pregabalin (p=0.083) and IP2015 (p=0.051) tended to reduce hyperalgesia, although the effects on hyperalgesia were not statistically significant compared to placebo-treated subjects.
Syn
US20130040985
https://patentscope.wipo.int/search/en/detail.jsf?docId=US76705962&_cid=P22-MIFE0H-55553-1

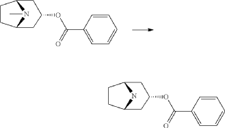
endo-Benzoic acid 8-methyl-8-aza-bicyclo[3.2.1]oct-3-yl ester

Benzoylchloride (84.3 g, 600 mmol) was added during 30 min at <30° C. to a mixture of tropine (70.6 g, 500 mmol), potassium tert-butoxide (67.3 g, 600 mmol) and THF (500 ml). The mixture was stirred at room temperature for 2 h. Water (1 L) was added followed by extraction with diethylether (2×500 ml). The organic phase was washed twice with water (2×200 ml) followed by a solution of saturated aqueous sodium chloride (200 ml). The ether phase was dried and hydrochloric acid in ethanol (170 ml, 3 M) was added. The precipitated hydrochloride was filtered and washed with diethylether. The free base was obtained by adding an excess of aqueous ammonia followed by extraction with a mixture of ethylacetate and diethylether. Yield 66.8 g (54%).
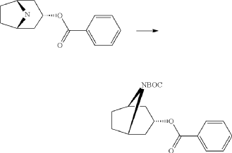
endo-Benzoic acid 8-aza-bicyclo[3.2.1]oct-3-yl ester

2,2,2-Trichloroethylchloroformate (75.0 ml, 544 mmol) was added dropwise to a mixture of endo-benzoic acid 8-methyl-8-aza-bicyclo[3.2.1]oct-3-yl ester (66.8 g, 272 mmol) and dry toluene (500 ml). The mixture was allowed to stir for 1 h at room temperature, followed by 15 h at 100° C. Water (250 ml) was added followed by stirring 1 h. The phases were separated and the organic phase was washed twice with water (2×200 ml). The mixture of the intermediate 3-benzoyloxy-8-aza-bicyclo[3.2.1]octane-8-carboxylic acid trichloromethyl ester, was dried and evaporated. Acetic acid (350 ml) was added followed by addition of zinc (53.4 g, 817 mmol) over 3 h time period. Water (100 ml) was added, cooled by adding ice and made alkaline by adding concentrated aqueous ammonia (ca: 400 ml) and the mixture was extracted with dichloromethane (2×300 ml). Yield 44.5 g (61%).
endo-3-Benzoyloxy-8-aza-bicyclo[3.2.1]octane-8-carboxylic acid tert-butyl ester

Di-tert-butyl-dicarbonate (39.9 g, 183 mmol) solved in THF (100 ml) was added to a stirred mixture of endo-benzoic acid 8-aza-bicyclo[3.2.1]oct-3-yl ester (44.5 g, 166.4 mmol), triethylamine (67.4 g, 666 mmol) and THF (250 ml) during 0.5 h at room temperature, followed by stirring for 1 h. Water (1 L) was added and the mixture was extracted with diethylether (2×300 ml). The collected ether phase was washed twice with water (2×200 ml), dried and evaporated. Yield 60.1 g (100%).
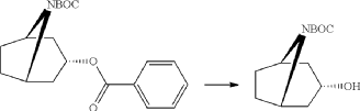
endo-3-Hydroxy-8-aza-bicyclo[3.2.1]octane-8-carboxylic acid tert-butyl ester

A mixture of endo-3-benzoyloxy-8-aza-bicyclo[3.2.1]octane-8-carboxylic acid tert-butyl ester (55.0 g, 166 mmol), potassium hydroxide (11.2 g 199 mmol) and ethanol (99%, 400 ml) was stirred for 3 days at room temperature. Potassium benzoate was separated by filtration and the filtrate was evaporated. Diethylether (200 ml) was added and remaining potassium benzoate was separated by filtration and the filtrate was evaporated. The product was triturated with petroleum. Yield 30.0 g (80%). Mp 139.5-140.8° C.
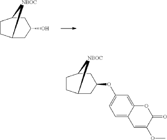
xample 1
Exo-tert-butyl-3-(3-methoxy-2-oxo-chromen-7-yl)oxy-8-azabicyclo[3.2.1]octane-8-carboxylate (Intermediate)

Triphenylphosphine (1.15 g, 4.37 mmol) was solved in toluene (20 ml) and cooled to <20° C. Diethylazodicarboxylate (40% in toluene) (2.0 ml, 4.37 mmol) was added to the mixture below 20° C., followed by stirring for 10 minutes. endo-3-Hydroxy-8-aza-bicyclo[3.2.1]octane-8-carboxylic acid tert-butyl ester (0.828 g, 3.64 mmol) was added and after 10 minutes 7-hydroxy-3-methoxy-chromen-2-one (0.70 g, 3.64 mmol) (prepared according to J. Med. Chem. 1999, 42, p2662-2672) was added to the mixture. The temperature raised to 25° C. due to an exothermic reaction. The mixture precipitates. The mixture was allowed to stir for 15 h at room temperature. Water (20 ml) and sodium hydroxide (0.5 ml, 4 M) was added followed by stirring. The mixture was cooled on an ice-bath, filtered and washed with water and diethylether. Yield 0.92 g (63%).
Exo-7-[(-8-azabicyclo[3.2.1]octan-3-yl)oxy]-3-methoxy-chromen-2-one hydrochloride (Compound 1.1)

Exo-tert-butyl-3-(3-methoxy-2-oxo-chromen-7-yl)oxy-8-azabicyclo[3.2.1]octane-8-carboxylate (0.92 g, 2.29 mmol) and hydrogen chloride (15 ml, 1 M) in acetic acid was mixed as a solution and stirred at room-temperature and precipitated after a few minutes. The product was filtered and washed with diethylether. Yield 0.48 g (62%). LC-ESI-HRMS of [M+H]+ shows 302.13856 Da. Calc. 302.138689 Da, dev. −0.4 ppm.
Syn
WO2011092061
https://patentscope.wipo.int/search/en/detail.jsf?docId=WO2011092061&_cid=P22-MIFE80-61015-1






SYN
https://patentscope.wipo.int/search/en/detail.jsf?docId=WO2024008808&_cid=P22-MIFDSB-50229-1

SYN
https://patentscope.wipo.int/search/en/detail.jsf?docId=WO2024089247&_cid=P22-MIFDSB-50229-1
SYN
https://patentscope.wipo.int/search/en/detail.jsf?docId=WO2024146892&_cid=P22-MIFDSB-50229-1
PAT
- Compound for treatment of erectile dysfunctionPublication Number: WO-2024146892-A1Priority Date: 2023-01-03
- Compound for treatment of painPublication Number: WO-2024089247-A1Priority Date: 2022-10-28
- Compound for treatment of female sexual dysfunctionPublication Number: WO-2024008808-A1Priority Date: 2022-07-08



AS ON OCT2025 4.511 LAKHS VIEWS ON BLOG WORLDREACH AVAILABLEFOR YOUR ADVERTISEMENT

join me on Linkedin
Anthony Melvin Crasto Ph.D – India | LinkedIn
join me on Researchgate
RESEARCHGATE

join me on Facebook
Anthony Melvin Crasto Dr. | Facebook
join me on twitter
Anthony Melvin Crasto Dr. | twitter
+919321316780 call whatsaapp
EMAIL. amcrasto@gmail.com

……
//////////Pudafensine, monoamine reuptake inhibitor, erectile dysfunction, neuropathic pain, NS18313, NS 18313, L9NG7US8GE, IP2015, IP 2015














