Risevistinel

It's only fair to share...Flattr the authorPin on PinterestEmail this to someone
Buffer this pageDigg thisShare on FacebookShare on Google+Tweet about this on TwitterShare on LinkedInShare on YummlyShare on VKShare on RedditShare on StumbleUponPrint this pageShare on Tumblr

Risevistinel

NYX-783 CAS 2591344-26-0, UNII-52TU5MZG22

NYX 2925, 2012536-16-0, X062KF5ZV3

C14H23N3O4, 297.35

UNII-52TU5MZG22,
X062KF5ZV3

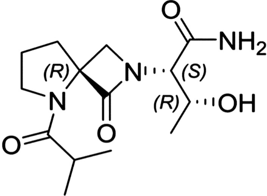
(αS,4R)-α-[(1R)-1-Hydroxyethyl]-5-(2-methyl-1-oxopropyl)-1-oxo-2,5-diazaspiro[3.4]octane-2-acetamide

2,5-Diazaspiro[3.4]octane-2-acetamide, α-[(1R)-1-hydroxyethyl]-5-(2-methyl-1-oxopropyl)-1-oxo-, (αS,4S)-

(2S,3R)-3-hydroxy-2-[(4S)-5-(2-methylpropanoyl)-3-oxo-2,5-diazaspiro[3.4]octan-2-yl]butanamide

  • NYX-783, NYX 2925
  • CS-0113907
  • HY-135741
  • NYX-2925

Risevistinel (NYX-783) is a positive allosteric modulator of N-methyl-D-aspartate (NMDA) receptor. Nevadistinel can be used to inhibit cognitive impairment associated with neurodegenerative diseases, such as mild cognitive impairment, mild Alzheimer’s disease, Parkinson’s disease, Lewy body disease.

NYX-2925 is an N-methyl-D-aspartate receptor (NMDAR) modulator, and at low concentrations of endogenous agonist (glycine or D-serine) and in the presence of glutamate, NYX-2925 partially activates the NMDAR. NYX-2925 appears to act at a binding site that is distinct from NMDAR agonists or antagonists studied to date, such as D-cycloserine, ketamine, MK-801, or kynurenic acid. The mode of action of NYX-2925 seems to be distinct from that of all existing and emerging drugs that are indicated for the treatment of neuropathic pain. While current medications target individual elements of pain signal transmission or modulation, NYX-2925 can modulate multiple synaptic relays within pain circuits.


NYX-2925 is under investigation in clinical trial NCT04146896 (Efficacy and Safety of NYX-2925 in Subjects With Neuropathic Pain Associated With Diabetic Peripheral Neuropathy (DPN)).

SCHEME

COUPLER

MAIN

REF

US20210139489 Aptinyx Inc.

https://patentscope.wipo.int/search/en/detail.jsf?docId=US323750708&_cid=P11-MD3X0E-31059-1

Synthesis of methyl pyrrolidine-2-carboxylate (2S-E)

      To a stirring solution of L-proline (50 g, 434 mmol) in methanol was added thionyl chloride (37.5 ml, 521 mmol) at 0° C. and heated to 70° C. for 16 h. The reaction mixture was brought to RT and concentrated under vacuum to afford compound 2S-E as (70 g, 99%) as thick syrup (hydrochloride salt).
       1H-NMR: (500 MHz, DMSO-d 6): δ 4.15-4.13 (m, 1H), 3.65 (s, 3H), 3.35-3.30 (m, 2H), 2.23-2.15 (m, 1H), 1.86-1.78 (m, 3H), 1.41 (s, 9H);
      LCMS m/z: 129 [M ++1]

Synthesis of 1-tert-butyl 2-methyl pyrrolidine-1,2-dicarboxylate (2S-F)

      To a stirring solution of compound 2S-E (70 g, 422 mmol) in CH 2Cl (700 mL) were added Et 3N (183 mL, 1.26 mol) at 0° C. and stirred for 10 min. After added Boc-anhydride (184 mL, 845 mmol) at 0° C. and the reaction mixture was stirred at RT for 16 h. After consumption of the starting material (by TLC), the reaction was diluted with water (200 mL) and extracted with CH 2Cl (2×200 mL). The combined organic layer was washed with citric acid (1×150 mL), brine (1×200 mL). The organic layer was dried over Na 2SO and concentrated under reduced pressure to afford crude compound which was purified by column chromatography by eluting 50% EtOAC/n-hexane to obtain compound 2S-F (80 g, 83%) as thick syrup.
       1H-NMR: (400 MHz, DMSO-d 6): δ 4.15-4.13 (m, 1H), 3.65 (s, 3H), 3.35-3.30 (m, 2H), 2.23-2.15 (m, 1H), 1.86-1.78 (m, 3H), 1.41 (s, 9H);
      LCMS m/z: 229 [(M ++1)-Boc].

Synthesis of 1-tert-butyl 2-methyl 2-((benzyloxy) methyl) pyrrolidine-1,2-dicarboxylate (2S-G)

      To a stirring solution of compound 2S-F (25 g, 109 mmol) in THF (250 mL) was added LiHMDS (240 mL, 240 mmol) at −20° C. and stirred for 2 h. To this BOM-chloride (23 mL, 163 mmol) was added drop wise at −30° C. and stirred for 2 h. After consumption of the starting material (by TLC), the reaction was quenched with aqueous NH 4Cl solution (100 mL) and extracted with EtOAc (2×200 mL). The combined organic layer was washed with water (2×150 mL) followed by brine solution (2×100 mL). The organic layer was dried over Na 2SO and concentrated to obtain crude compound which was purified by column chromatography by eluting 10% EtOAc/n-hexane to afford compound 2S-G (30 g, 79%) as thick syrup.
       1H-NMR: (500 MHz, DMSO-d 6): δ 7.36-7.22 (m, 5H), 4.59-4.48 (m, 2H), 4.02-3.88 (m, 1H), 3.63 (s, 3H), 3.49-3.35 (m, 2H), 3.34-3.30 (m, 1H), 2.31-2.23 (m, 1H), 2.04-1.89 (m, 2H), 1.82-1.78 (m, 1H);
      LCMS m/z: 349.4 [(M ++1)-Boc]

Synthesis of 2-((benzyloxy) methyl)-1-(tert-butoxycarbonyl) pyrrolidine-2-carboxylic acid (2S-H)

      To a stirring solution of compound 2S-G (30 g, 86 mmol) in methanol (70 mL) was added NaOH solution (6.88 g in 70 mL H 2O) at RT. The reaction mixture was heated to 70° C. for 16 h. After consumption of the starting material (by TLC), the solvent from the reaction was evaporated under reduced pressure and diluted with EtOAc (2×200 mL). The separated aqueous layer was acidified using citric acid solution (pH-3) and extracted with EtOAc (2×250 mL). The combined organic layer was dried over Na 2SO and concentrated to afford crude was triturated with n-hexane to obtain compound 2S-H (25 g, 86.8%) as an off-white solid.
       1H-NMR: (400 MHz, DMSO-d 6): δ 12.35 (br s, 1H), 7.37-7.29 (m, 5H), 4.56-4.48 (m, 2H), 4.06-4.00 (m, 1H), 3.92-3.89 (m, 1H), 3.66-3.45 (m, 1H), 3.37-3.28 (m, 1H), 2.31-2.20 (m, 1H), 2.05-1.97 (m, 1H), 1.87-1.75 (m, 2H), 1.38 (s, 9H);
      LCMS m/z: 335.3 [M ++1]

Synthesis of 1-(tert-butoxycarbonyl)-2-(hydroxymethyl) pyrrolidine-2-carboxylic acid (2S-I)

      To a stirring solution of compound 2S-H (25 g, 74 mmol) in methanol (150 mL) was added 50% wet 10% Pd/C (7 g) at RT and stirred for 10 h under H atmosphere. After consumption of the starting material (by TLC), the reaction mixture was filtered through a pad of celite and the pad was washed with methanol (100 mL). Obtained filtrate was concentrated under reduced pressure to afford compound 2S-I (15 g, 82.8%) as white solid.
       1H-NMR: (400 MHz, DMSO-d 6): δ 4.66 (br s, 1H), 3.96-3.83 (m, 1H), 3.63-3.59 (m, 1H), 3.49-3.41 (m, 1H), 3.34-3.25 (m, 1H), 2.30-2.17 (m, 1H), 1.95-1.72 (m, 3H), 1.38 (s, 9H).
      Mass (ESI): m/z 245 [M ++1]

Synthesis of tert-butyl 2-(((2S,3R)-1,3-bis (benzyloxy)-1-oxobutan-2-yl) carbamoyl)-2-(hydroxymethyl) pyrrolidine-1-carboxylate (2S-J)

      To a stirring solution of compound 2S-I (18 g, 73.4 mmol) in CH 2Cl (180 mL) were added DIPEA (40 mL, 220 mmol), 2S-D (21.9 g, 73.4 mmol), HATU (41.8 g, 110 mmol) at RT and stirred for 16 h. After consumption of the starting material (by TLC), the reaction mixture was diluted with water (50 mL) and extracted with CH 2Cl (2×100 mL). The combined organic layer was washed with brine, dried over anhydrous Na 2SO 4, filtered and concentrated under reduced pressure. Obtained crude material was purified by silica gel column chromatography eluting with 30% EtOAc/n-hexane to afford compound 2S-J (20 g, 52%) as pale yellow thick syrup.
       1H-NMR: (400 MHz, DMSO-d 6): δ 8.25-8.12 (m, 1H), 7.31-7.27 (m, 10H), 5.85 (t, J=4.8 Hz, 1H), 5.14 (s, 2H), 4.54-4.49 (m, 2H), 4.31-4.20 (m, 1H), 4.15-4.07 (m, 1H), 3.91-3.50 (m, 1H), 3.52-3.37 (m, 1H), 3.31-3.27 (m, 2H), 2.35-2.07 (m, 1H), 1.95-1.90 (m, 1H), 1.73-1.52 (m, 2H), 1.39 (s, 9H), 1.19 (d, J=6.4 Hz, 3H);
      Mass (ESI): m/z 527.4 [M ++1]

Synthesis of tert-butyl 2-((2S,3R)-1,3-bis (benzyloxy)-1-oxobutan-2-yl)-1-oxo-2,5-diazaspiro [3.4] octane-5-carboxylate (2S-K)

      To a stirring solution of triphenylphosphine (24.7 g, 94 mmol) in THF (100 mL) was added DIAD (15.3 g, 75 mmol) at RT and stirred for 30 min. To this added compound 2S-J (20 g, 37.9 mmol) in (10 mL) THF slowly and reaction mixture was stirred at RT for 2 h. After consumption of the starting material (by TLC), the reaction was concentrated under reduced pressure. The crude material was purified by silica gel column chromatography eluting 25% EtOAc/n-hexane to afford compound 2S-K (17 g, 88%) as pale yellow thick syrup.
       1H-NMR: (400 MHz, DMSO-d 6): δ 7.33-7.26 (m, 5H), 7.23-7.18 (m, 5H), 5.10 (s, 2H), 4.80-4.73 (m, 2H), 4.60 (s, 2H), 4.31 (s, 2H), 4.05-4.00 (m, 2H), 1.80-1.68 (m, 4H), 1.39 (s, 9H), 1.18 (d, J=6.0 Hz, 3H);
      Mass (ESI): m/z 509.4 [M ++1]

Synthesis of (2S,3R)-2-(5-(tert-butoxycarbonyl)-1-oxo-2,5-diazaspiro [3.4] octan-2-yl)-3-hydroxybutanoic acid (2S-L)

      To a stirring solution of compound 2S-K (7 g, 13.7 mmol) in methanol (100 mL) was added 10% Pd/C (4 g) at RT and stirred for 6 h under H atmosphere. After consumption of the starting material (by TLC), the reaction mixture was filtered through a pad of celite and the pad was washed with methanol (50 mL). Obtained filtrate was concentrated under reduced pressure to obtained crude, which was triturated with n-pentane (50 mL) to afford compound 2S-L (4 g, 88%) as white solid.
       1H-NMR: (500 MHz, DMSO-d 6): δ 12.80 (br s, 1H), 4.78-4.73 (m, 1H), 4.21-4.19 (m, 1H), 4.09 (s, 2H), 3.55-3.46 (m, 2H), 2.09-2.05 (m, 2H), 1.80 (d, J=7.0 Hz, 1H), 1.38 (s, 9H), 1.35-1.28 (m, 2H), 1.17 (d, J=6.5 Hz, 3H)
      LCMS m/z: 329.6 [M ++1]
      

Synthesis of tert-butyl 2-((2S,3R)-1-amino-3-hydroxy-1-oxobutan-2-yl)-1-oxo-2,5-diazaspiro [3.4] octane-5-carboxylate (2S-FNL-2)

      To a stirring solution of compound 2S-L (500 mg, 1.52 mmol) in CH 2Cl (5 mL) were added DIPEA (0.8 mL, 4.57 mmol), EDCI·HCl (350 mg, 1.82 mmol) followed by HOBt (280 mg, 1.82 mmol), NH 4Cl (161 mg, 3.04 mmol) at 0° C. and stirred for 16 h at RT. After consumption of the starting material (by TLC), the reaction mixture was diluted with water (10 mL) and extracted with CH 2Cl (2×30 mL). The combined organic layer was washed with citric acid solution (2×30 mL). The organic layer was dried over anhydrous Na 2SO 4, filtered and concentrated under reduced pressure. Obtained crude material was purified by silica gel column chromatography eluting 2% MeOH/DCM to afford compound (2S-FNL-2) (200 mg, 40%) as colorless liquid.
       1H-NMR: (500 MHz, DMSO-d 6): δ 7.53 (s, 2H), 4.59 (s, 1H), 4.02 (s, 1H), 3.77-3.70 (m, 2H), 3.62-3.53 (m, 2H), 3.46-3.33 (m, 1H), 2.17-2.03 (m, 2H), 1.88-1.71 (m, 2H), 1.38 (s, 9H), 1.18 (d, J=6.5 Hz, 3H);
      Mass (ESI): 328.3 [M ++1]

Synthesis of (2S,3R)-3-hydroxy-2-(1-oxo-2,5-diazaspiro [3.4] octan-2-yl) butanamide (2S-FNL-3)

      To a stirring solution of compound (2S-FNL-2) (200 mg, 0.61 mmol) in CH 2Cl (5 mL) was added TFA (0.5 mL, 6.1 mmol) at 0° C. and stirred at RT for 3 h. After completion of reaction (by TLC), the reaction mixture was concentrated under reduced pressure to obtained crude compound which was triturated with n-pentane/diethylether (5 mL/5 mL) to afford compound (2S-FNL-3) (100 mg) as white solid (TFA salt).
       1H-NMR: (400 MHz, D 2O): δ 4.33-4.29 (m, 2H), 4.09 (d, 1H), 3.95 (d, 1H), 3.57-3.48 (m, 2H), 2.51-2.46 (m, 2H), 2.25-2.19 (m, 2H), 1.31 (d, 3H);
      LCMS, m/z: 455 [2M ++1]

Synthesis of (2S,3R)-3-hydroxy-2-(5-isobutyryl-1-oxo-2,5-diazaspiro [3.4] octan-2-yl) butanamide (NYX-2925)

      To a stirring solution of (2S-FNL-3) (500 mg (crude), 2.20 mmol) in CH 2Cl (10 mL) was added TEA (1 mL, 7.70 mmol) followed by isobutyryl chloride (256 mg, 2.42 mmol) at 0° C. and stirred for 16 h at RT. After consumption of the starting material (by TLC), the reaction mixture was diluted with water (10 mL) and extracted with CH 2Cl (2×30 mL). The combined organic layer was washed with citric acid solution (2×30 mL). The organic layer was dried over anhydrous Na 2SO 4, filtered and concentrated under reduced pressure. Obtained crude material was purified by silica gel column chromatography eluting 2% MeOH/DCM to afford the two diastereomers of (2S-FNL-4) (100 mg, 15.2%) as white solid. The two 2S-FNL-4 diastereomers were separated by repetitive silica gel column chromatography to provide NYX-2925.
       1H-NMR: (500 MHz, DMSO-d 6): δ 7.63 (br s, ex with D20, 1H), 7.18 (br s, ex with D20, 1H), 4.77 (d, J=4.0 Hz, ex with D 2O, 1H), 4.04-4.00 (m, 1H), 3.95 (d, J=6.5 Hz, 1H), 3.76 (d, J=5.5 Hz, 1H), 3.66-3.63 (m, 1H), 3.53 (q, J=8.0 Hz, 1H), 3.39 (d, J=5.5 Hz, 1H), 2.72 (septet, J=6.5 Hz, 1H), 2.14-2.05 (m, 2H), 1.92-1.86 (m, 2H), 1.10 (d, J=6.0 Hz, 3H), 1.02 (d, J=6.5 Hz, 3H), 0.99 (d, J=6.5 Hz, 3H);
      Mass (ESI): 298.4 [M ++1].

PATENT

WO2022086858 

WO2021021996

[1]. Moskal, et al. Methods of treating disorders associated with elevated levels of antibodies that interact with the NMDA receptor by administering a spiro-β-lactam compound. World Intellectual Property Organization, WO2021021996 A1. 2021-02-04.

//////Risevistinel, NYX 783, UNII-52TU5MZG22, Aptinyx Inc, NYX 2925, CS 0113907, HY 135741, NYX-2925

It's only fair to share...Flattr the authorPin on PinterestEmail this to someone
Buffer this pageDigg thisShare on FacebookShare on Google+Tweet about this on TwitterShare on LinkedInShare on YummlyShare on VKShare on RedditShare on StumbleUponPrint this pageShare on Tumblr

Leave a Reply

Your email address will not be published. Required fields are marked *