

Segigratinib, Ratangratinib
CAS 1882873-93-9
MF C27H28Cl2N6O3 MW 555.5 g/mol
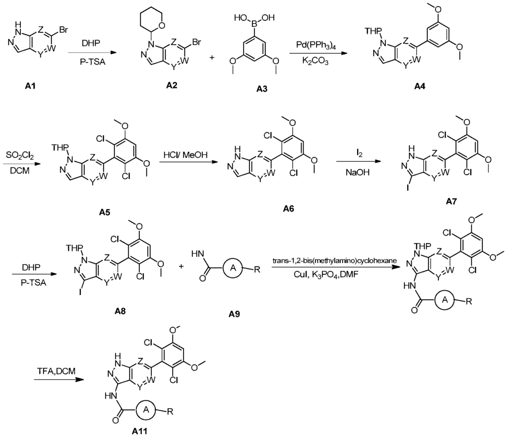
N-[6-(2,6-dichloro-3,5-dimethoxyphenyl)-1H-pyrazolo[3,4-b]pyridin-3-yl]-4-(3,3-dimethylpiperazin-1-yl)benzamide
N-[6-(2,6-dichloro-3,5-dimethoxyphenyl)-1H-pyrazolo[5,4-b]pyridin-3-yl]-4-(3,3-dimethylpiperazin-1-yl)benzamide
fibroblast growth factor receptor tyrosine kinase inhibitor, antineoplastic, 3D 185, Ratangratinib, 3D-185, G0Z5E4YTB4, HH 185
Ratangratinib is an orally bioavailable inhibitor of the fibroblast growth factor receptor (FGFR) types 1, 2, and 3 (FGFR1/2/3) and colony stimulating factor 1 receptor (CSF1R; CSF-1R; CD115; M-CSFR), with potential immunomodulatory and antineoplastic activities. Upon administration, ratangratinib binds to and inhibits FGFR1/2/3, which may result in the inhibition of FGFR1/2/3-mediated signal transduction pathways. This inhibits proliferation in FGFR1/2/3-overexpressing tumor cells. 3D185 also targets and binds to CSF1R, thereby blocking CSF1R activation and CSF1R-mediated signaling. This inhibits the activities of tumor-associated macrophages (TAMs) and myeloid-derived suppressor cells (MDSCs), and prevents immune suppression in the tumor microenvironment (TME). This enhances antitumor T-cell immune responses and inhibits the proliferation of tumor cells. FGFR, a family of receptor tyrosine kinases (RTKs) upregulated in many tumor cell types, plays a key role in cellular proliferation, migration and survival. CSF1R, also known as macrophage colony-stimulating factor receptor (M-CSFR) and CD115 (cluster of differentiation 115), is a cell-surface receptor that plays major roles in tumor cell proliferation and metastasis.
Efficacy and Safety of 3D185 Monotherapy in Subjects With Previously Treated Locally Advanced or Metastatic Cholangiocarcinoma
CTID: NCT05039892
Phase: Phase 2
Status: Not yet recruiting
Date: 2025-05-20
SYN
https://patentscope.wipo.int/search/en/detail.jsf?docId=WO2016026445&_cid=P20-MIMK7T-68502-1

N-(6-(2,6-dichloro-3,5-dimethoxyphenyl)-1H-pyrazolo[3,4-b]pyridin-3-yl)-6-(3,3-dimethylpiperazin-1-yl)nicotinamide

1H NMR(DMSO-d6,400MHz)δppm 13.39(s,1H),10.86(s,1H),8.81(d,1H,J=2.0Hz),8.40(d,1H,J=8.0Hz),8.16(dd,1H,J 1=2.4Hz,J 2=2.4Hz),7.08(t,2H,J=8.4Hz),6.90(d,1H,J=9.2Hz),3.99(s,6H),3.60(t,2H,J=4.0Hz),3.43(s,2H),2.82(t,2H,J=4.4Hz),1.04(s,6H).LCMS:556.2[M+H] +,RT=1.21min。
SYN
https://patentscope.wipo.int/search/en/detail.jsf?docId=US204149576&_cid=P20-MIMK4B-66027-1

1H NMR (d-MeOD, 400 MHz) δ ppm 8.52 (d, J=8.0 Hz, 1H), 8.03 (d, J=8.0 Hz, 2H), 7.15-7.13 (m, 3H), 6.94 (s, 1H), 3.99 (s, 6H), 3.58-3.57 (m, 2H), 3.44-3.40 (m, 4H), 10.50 (s, 6H).
PAT
- Indazole compounds as fgfr kinase inhibitor, preparation and use thereofPublication Number: EP-3184521-A1Priority Date: 2014-08-19
- Indazole compounds as FGFR kinase inhibitor, preparation and use thereofPublication Number: US-10562900-B2Priority Date: 2014-08-19Grant Date: 2020-02-18
- Indazole compounds as fgfr kinase inhibitor, preparation and use thereofPublication Number: US-2017275291-A1Priority Date: 2014-08-19
- Indazole compounds as fgfr kinase inhibitor, preparation and use thereofPublication Number: WO-2016026445-A1Priority Date: 2014-08-19



AS ON OCT2025 4.511 LAKHS VIEWS ON BLOG WORLDREACH AVAILABLEFOR YOUR ADVERTISEMENT

join me on Linkedin
Anthony Melvin Crasto Ph.D – India | LinkedIn
join me on Researchgate
RESEARCHGATE

join me on Facebook
Anthony Melvin Crasto Dr. | Facebook
join me on twitter
Anthony Melvin Crasto Dr. | twitter
+919321316780 call whatsaapp
EMAIL. amcrasto@gmail.com

……
////////segigratinib, antineoplastic, 3D 185, Ratangratinib, 3D-185, G0Z5E4YTB4, HH 185














