Sendegobresib

It's only fair to share...Flattr the authorPin on PinterestEmail this to someone
Buffer this pageDigg thisShare on FacebookShare on Google+Tweet about this on TwitterShare on LinkedInShare on YummlyShare on VKShare on RedditShare on StumbleUponPrint this pageShare on Tumblr

Sendegobresib

CAS 2704617-96-7

MFC37H45F3N6O5, 710.79

2,6-PIPERIDINEDIONE, 3-((4-(4-((4S)-1-((4-(1,6-DIHYDRO-1,4,5-TRIMETHYL-6-OXO-3-PYRIDINYL)-2,6-DIMETHOXYPHENYL)METHYL)-3,3-DIFLUORO-4-PIPERIDINYL)-1-PIPERAZINYL)-3-FLUOROPHENYL)AMINO)-, (3S)-

(3S)-3-[4-[4-[(4S)-1-[[2,6-dimethoxy-4-(1,4,5-trimethyl-6-oxo-3-pyridinyl)phenyl]methyl]-3,3-difluoropiperidin-4-yl]piperazin-1-yl]-3-fluoroanilino]piperidine-2,6-dione

bromodomain-containing protein 9 (BRD9) degradation inducer, antineoplastic, AW8PEP3VZ3, CFT 8634, ORPHAN DRUG

Sendegobresib is an orally bioavailable heterobifunctional protein degrader of bromodomain-containing protein 9 (BRD9; sarcoma antigen NY-SAR-29; rhabdomyosarcoma antigen MU-RMS-40.8), with potential antineoplastic activity. Sendegobresib is comprised of an E3 ligase-binding moiety and a BRD9-binding moiety. Upon oral administration, sendegobresib targets and binds to BRD9 with its BRD9-binding moiety. Upon BRD9 binding, the E3 ligase-binding moiety binds to cereblon (CRBN), a component of the CRL4-CRBN E3 ubiquitin ligase complex, which directs proteins for destruction, resulting in the proteasome-mediated degradation of BRD9. This leads to an inhibition of the growth of tumor cells that rely on BRD9 for survival. BRD9, a component of one form of the Brg/Brahma-Associated Factor (BAF) complex, is needed for the survival of certain cancer cells due to mutations.

A Study to Assess the Safety and Tolerability of CFT8634 in Locally Advanced or Metastatic SMARCB1-Perturbed Cancers, Including Synovial Sarcoma and SMARCB1-Null Tumors

CTID: NCT05355753

Phase: Phase 1

Status: Terminated

Date: 2024-12-17

PAT

https://patentscope.wipo.int/search/en/detail.jsf?docId=US355912448&_cid=P11-MINYJY-62955-1

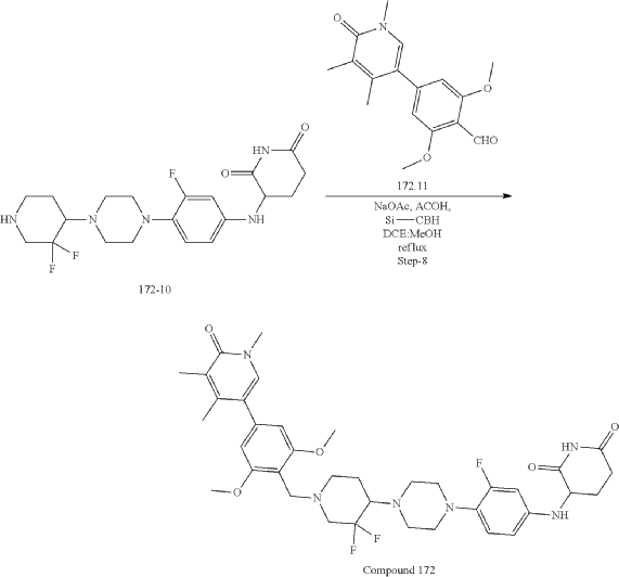
Synthesis of Compound 172

Step-1: To a stirred solution of compound tert-butyl piperazine-1-carboxylate (85.40 g, 536.82 mmol) in DMF (500 mL) was added cesium carbonate (262.4 g, 805.4 mmol) and stirred for 15 min before adding 1,2-difluoro-4-nitro-benzene (100 g, 536.82 mmol). The reaction mixture stirred at RT for 16 h while monitoring by TLC. After completion, the reaction mass was quenched with ice flakes and the precipitated solid was filtered, dried under vacuum to afford tert-butyl 4-(2-fluoro-4-nitro-phenyl) piperazine-1-carboxylate 172-3 (152 g, 88.85% yield, 97.94% purity) as a yellow solid.
      Step-2: To a stirred solution of tert-butyl 4-(2-fluoro-4-nitrophenyl)piperazine-1-carboxylate 172-3 (50.0 g, 153.69 mmol) in 20 ml dioxane was added 4M dioxane HCl (30 ml) and reaction mixture stirred for 2 h at RT while monitoring by TLC. The solvent was evaporated to dryness under reduced pressure and crude solid was triturated with diethyl ether (75 ml) and n-pentane (100 ml) to afford HCl salt of 1-(2-fluoro-4-nitrophenyl) piperazine 172-4 (36.0 g, 136.2 mmol, 88.62% yield, 99% purity). LCMS (ES +): m/z 226.10 [M+H] +
      Step-3: To stirred solution of 1-(2-fluoro-4-nitro-phenyl)piperazine 172-4 (8.0 g, 35.52 mmol) in toluene (200 ml) and ACN (100 ml) was added NaOAc (7.28 g, 88.80 mmol), followed by AcOH (8 ml) and molecular sieves 4 Å (10 g) and stirred for 15 min. After 15 min tert-butyl 3,3-difluoro-4-oxo-piperidine-1-carboxylate (11.49 g, 48.84 mmol, co-distilled with toluene before use) was added and the reaction mixture was allowed to reflux for 12 h, while monitoring by LCMS and TLC. After completion, reaction mixture was cooled to room temperature and filtered through Celite bed. The filtrate was concentrated under vacuum to dryness to afford crude residue 3,3-difluoro-4-(4-(2-fluoro-4-nitrophenyl)piperazin-1-yl)-3,6-dihydropyridine-1(2H)-carboxylate 172-6 (12.2 g, 98.89% purity) which was used for next step without any purification. LCMS (ES +): m/z 443.75 [M+H] +
      Step-4: The compound 172-6 (8 g, 18.08 mmol) was dissolved in a mixture of methanol (20 mL), DCE (20 mL) and AcOH (2 ml), allowed to stir for 15 min, before adding sodium cyanoborohydride (5.68 g, 90.41 mmol). After addition, the reaction mixture was stirred for 24 h at room temperature, while monitoring by LCMS and TLC. The reaction mixture was filtered through Celite bed and filtrate was concentrated under vacuum. Crude compound purified by (silica gel mesh 100-200, and product eluted with 30% ethyl acetate in pet ether-neat ethyl acetate) column chromatography to afford tert-butyl-3,3-difluoro-4-[4-(2-fluoro-4-nitro-phenyl)piperazin-1-yl]piperidine-1-carboxylate 172-7 (7.2 g, 15.39 mmol, 85.11% yield, 98% purity). LCMS (ES +): m/z 445.35 [M+H] +
      Step-5: To the stirred solution of tert-butyl 3,3-difluoro-4-(4-(2-fluoro-4-nitrophenyl)piperazin-1-yl)piperidine-1-carboxylate 172-7 (5 g, 11.25 mmol) in ethyl acetate (100 mL) was added 10% Palladium on carbon wet (3.59 g, 33.75 mmol) at RT. The reaction mixture was stirred at RT under H balloon pressure for 12 h was monitored by TLC. After the completion of the reaction, the reaction mixture was filtered-off through Celite and washed with ethyl acetate (200 mL). The filtrate was concentrated to obtain the crude product which was triturated with pentane, decanted the organic layer and the solidified product was filtered, dried well to afford tert-butyl 4-[4-(4-amino-2-fluoro-phenyl)piperazin-1-yl]-3,3-difluoro-piperidine-1-carboxylate 172-8 (3 g, 61.48% yield, 95.56% purity) as pale pink solid. LCMS (ES +): m/z 415.56 [M+H] +
      Step-6: To a stirred solution of tert-butyl 4-[4-(4-amino-2-fluoro-phenyl)piperazin-1-yl]-3,3-difluoro-piperidine-1-carboxylate 172-8 (5 g, 12.06 mmol) in DMF (20 mL) taken in a seal tube was added 3-bromopiperidine-2,6-dione (6.95 g, 36.19 mmol) at rt followed by the addition of sodium bicarbonate (6.08 g, 72.38 mmol) and the reaction mixture was allowed to stir at 90° C. for 12 h. After the completion of the reaction, the reaction mixture was cooled to room temperature, diluted with ethyl acetate (200 mL) and filtered off through Celite. The filtrate washed with water (2×100 mL), brine (1×25 mL), dried over anhydrous Na 2SO 4, filtered and concentrated to get the crude product. The crude product was purified by column chromatography using silica gel (100/200 mesh) and the product eluted at 2-3% MeOH/DCM) to afford (tert-butyl 4-(4-(4-((2,6-dioxopiperidin-3-yl)amino)-2-fluorophenyl)piperazin-1-yl)-3,3-difluoropiperidine-1-carboxylate 172-9 (4.2 g, 56.31% yield, 91.08% purity) as a purple solid. LCMS (ES +): m/z 526.48 [M+H] +
      Step-7: To the stirred solution of tert-butyl 4-[4-[4-[(2,6-dioxo-3-piperidyl)amino]-2-fluoro-phenyl]piperazin-1-yl]-3,3-difluoro-piperidine-1-carboxylate 172-9 (7 g, 13.32 mmol) in 1,4-dioxane (30 mL) was added 4M HCl in dioxane (30.35 mL, 665.95 mmol, 30.35 mL) at 0° C. The reaction mixture was stirred at 0° C. for 30 minutes, slowly warmed to RT and stirred at RT for 6 h. After the completion of the reaction, the reaction mixture was concentrated and the residual mass was triturated with diethyl ether (3×100 mL) and the solid precipitated out was dried well to afford 3-[4-[4-(3,3-difluoro-4-piperidyl)piperazin-1-yl]-3-fluoro-anilino]piperidine-2,6-dione 172-10 as HCl salt (5.54 g, 90.05% yield, 91.71% purity) as pale blue solid. LCMS (ES +): m/z 426.22 [M+H] +
      Step 8: To a stirred solution of 3-[4-[4-(3,3-difluoro-4-piperidyl)piperazin-1-yl]-3-fluoro-anilino]piperidine-2,6-dione HCl 172-10 (5.65 g, 12.23 mmol) in DCE:MeOH (60:60 ml) were added 4 Å molecular sieves (3 g), acetic acid (0.797 g, 13.27 mmol) and sodium acetate (3.27 g, 39.82 mmol). The resulting solution was stirred for 10 min, then added 2,6-dimethoxy-4-(1,4,5-trimethyl-6-oxo-3-pyridyl)benzaldehyde 172-11 (4 g, 13.27 mmol) and heated the reaction mixture at 70° C. for 5 h then cooled it at RT and added Silia Bond Cyanoborohydride (3.85 g, 66.37 mmol). The stirring was continued at RT for 16 h, while monitoring the reaction by LCMS and TLC. After 16 h, the reaction mass was filtered through Celite, concentrated and purified by (Devisil silica gel, and product eluted with 1% to 5% MeOH in CH 2C2) column flash chromatography to afford compound was dissolved in dry DCM (10 ml) and TFA (5 ml) was added at 0° C., stirred it for 30 min. After 30 min, reaction crude was concentrated to dryness and obtained crude was washed with diethyl ether (3×20 ml) to afford 3-[4-[4-[1-[[2,6-dimethoxy-4-(1,4,5-trimethyl-6-oxo-3-pyridyl)phenyl]methyl]-3,3-difluoro-4-piperidyl]piperazin-1-yl]-3-fluoro-anilino]piperidine-2,6-dione TFA Compound 172 (3.21 g, 3.83 mmol, 28.85% yield, 98.40% purity) as a light green solid. 1H NMR (400 MHz, DMSO-d 6) δ 10.78 (s, 1H), 9.97 (s, 1H), 7.52 (s, 1H), 6.84 (t, J=9.3 Hz, 1H), 6.66 (s, 2H), 6.51 (d, J=15.0 Hz, 1H), 6.42 (d, J=8.5 Hz, 1H), 4.28-4.24 (m, 3H), 3.86 (s, 7H), 3.47 (s, 6H), 2.90 (bs, 9H), 2.76-2.68 (m, 1H), 2.53-2.54 (m, 1H), 2.08 (d, J=10.7 Hz, 9H), 1.91-1.87 (m, 1H). LCMS (ES +): m/z 711.20 [M+H] +

PAT

WO-2021178920

PAT

WO-2022216765

PAT

str1

AS ON OCT2025 4.511 LAKHS VIEWS ON BLOG WORLDREACH AVAILABLEFOR YOUR ADVERTISEMENT

wdt-16

join me on Linkedin

Anthony Melvin Crasto Ph.D – India | LinkedIn

join me on Researchgate

RESEARCHGATE

This image has an empty alt attribute; its file name is research.jpg

join me on Facebook

Anthony Melvin Crasto Dr. | Facebook

join me on twitter

Anthony Melvin Crasto Dr. | twitter

+919321316780 call whatsaapp

EMAIL. amcrasto@gmail.com

……

/////////Sendegobresib, antineoplastic, AW8PEP3VZ3, CFT 8634, ORPHAN DRUG

It's only fair to share...Flattr the authorPin on PinterestEmail this to someone
Buffer this pageDigg thisShare on FacebookShare on Google+Tweet about this on TwitterShare on LinkedInShare on YummlyShare on VKShare on RedditShare on StumbleUponPrint this pageShare on Tumblr

Leave a Reply

Your email address will not be published. Required fields are marked *