


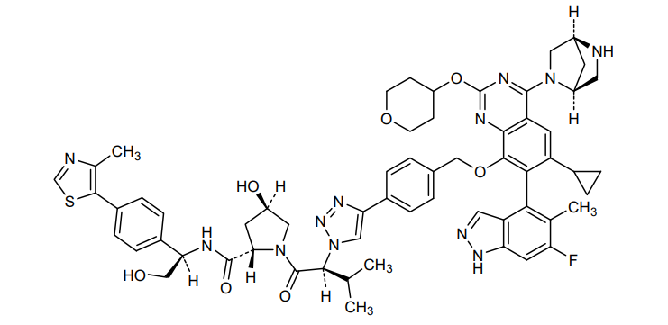
Setidegrasib
CAS 2821793-99-9
MF C60H65FN12O7S MW1117.30

(2S,4R)-1-[(2S)-2-[4-[4-[[6-cyclopropyl-4-[(1S,4S)-2,5-diazabicyclo[2.2.1]heptan-2-yl]-7-(6-fluoro-5-methyl-1H-indazol-4-yl)-2-(oxan-4-yloxy)quinazolin-8-yl]oxymethyl]phenyl]triazol-1-yl]-3-methylbutanoyl]-4-hydroxy-N-[(1R)-2-hydroxy-1-[4-(4-methyl-1,3-thiazol-5-yl)phenyl]ethyl]pyrrolidine-2-carboxamide
Kirsten rat sarcoma viral oncogene homologue (KRAS) degradation
inducer, antineoplastic, ASP-3082, ASP 3082, 3NQ4ME292X, KRAS G12D inhibitor 17
Setidegrasib (KRAS G12D inhibitor 17, ASP3082) is a PROTAC KRAS degrader (DC50: 37 nM). Setidegrasib induces the degradation of G12D-mutation KRAS protein. Setidegrasib suppresses p-ERK, p-AKT, p-S6 levels in AsPC-1 cells. Setidegrasib exhibits anti-tumor activity in various cancer xenograft models in mice. Setidegrasib can be used for the study of KRAS(G12D)-mutated solid tumors. (Blue: VHL ligase ligand (HY-168699); Black: linker (HY-168698); Pink: G12D ligand (HY-168700)).
Setidegrasib is a small molecule drug. The usage of the INN stem ‘-rasib’ in the name indicates that Setidegrasib is a Ras protein inhibitor. Setidegrasib has a monoisotopic molecular weight of 1116.48 Da.
SYN
https://patentscope.wipo.int/search/en/detail.jsf?docId=WO2022173032&_cid=P21-MIPU3D-50779-1





PAT
- Combination of anticancer agents comprising a bifunctional compound with g12d mutant kras inhibitory activityPublication Number: WO-2024033537-A1Priority Date: 2022-08-12
- Combination of anticancer agents comprising a bifunctional compound with g12d mutant kras inhibitory activityPublication Number: WO-2024033538-A1Priority Date: 2022-08-12
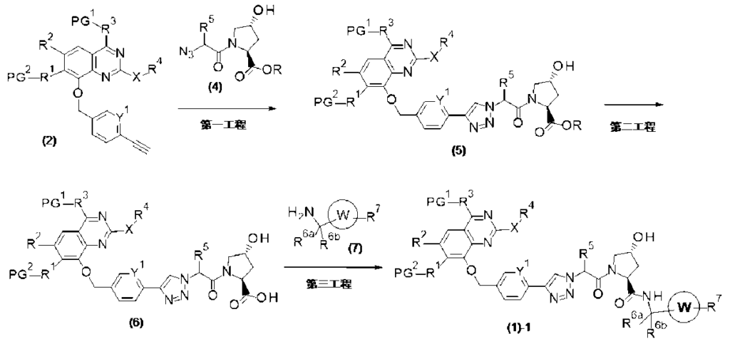
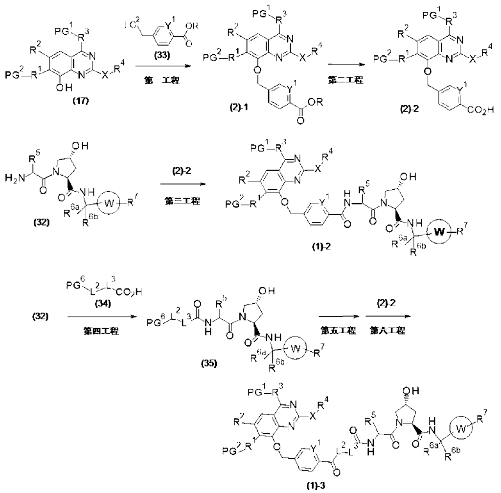
- Quinazoline compound for inducing degradation of g12d-mutation kras proteinPublication Number: WO-2022173032-A1Priority Date: 2021-02-15
- Quinazoline compound for inducing degradation of g12d-mutation kras proteinPublication Number: EP-4293024-A1Priority Date: 2021-02-15
- Quinazoline compound for inducing degradation of g12d mutant kras proteinPublication Number: US-2024182483-A1Priority Date: 2021-02-15



AS ON OCT2025 4.511 LAKHS VIEWS ON BLOG WORLDREACH AVAILABLEFOR YOUR ADVERTISEMENT

join me on Linkedin
Anthony Melvin Crasto Ph.D – India | LinkedIn
join me on Researchgate
RESEARCHGATE

join me on Facebook
Anthony Melvin Crasto Dr. | Facebook
join me on twitter
Anthony Melvin Crasto Dr. | twitter
+919321316780 call whatsaapp
EMAIL. amcrasto@gmail.com

……
- [1]. Yoshinari, et al. Preparation of quinazoline-linked (4R)-4-hydroxy-L-prolinamide compounds for inducing degradation of G12D-mutation KRAS protein: World Intellectual Property Organization, WO2022173032[P]. 2022-08-18.[2]. Yoshinari T, et al. Discovery of KRAS(G12D) selective degrader ASP3082. Commun Chem. 2025 Aug 23;8(1):254. [Content Brief]
////////Setidegrasib, antineoplastic, ASP-3082, ASP 3082, 3NQ4ME292X, KRAS G12D inhibitor 17














