



Tigozertinib
CAS 2660250-10-0
MF C28H37FN6O3S MW 556.7
3-Isoquinolinamine, N-[2-[(3S,4R)-3-fluoro-4-methoxy-1-piperidinyl]-4-pyrimidinyl]-5-(1-methylethyl)-8-[(2R,3S)-2-methyl-3- [(methylsulfonyl)methyl]-1-azetidinyl]-
N-{2-[(3S,4R)-3-fluoro-4-methoxypiperidin-1-yl]pyrimidin-4-yl}-8-{(2R,3S)-3-[(methanesulfonyl)methyl]-2-methylazetidin-1-yl}-5-(propan-2-yl)isoquinolin-3-amine
N-[2-[(3S,4R)-3-fluoro-4-methoxypiperidin-1-yl]pyrimidin-4-yl]-8-[(2R,3S)-2-methyl-3-(methylsulfonylmethyl)azetidin-1-yl]-5-propan-2-ylisoquinolin-3-amine
N-(2-((3S,4R)-3-fluoro-4-methoxypiperidin-l-yl)pyrimidin-4-yl)-5-isopropyl-8-(3-(methylsulfonylmethyl)azetidin-l-yl)isoquinolin-3-amine
epidermal growth factor receptor (EGFR) tyrosine kinase inhibitor, antineoplastic, PA4PTH5HL9, BLU 945
Tigozertinib (BLU-945) is currently under investigation in clinical trial NCT04862780 (Phase 1/2 Study Targeting EGFR Resistance Mechanisms in NSCLC) for the treatment of NSCLC.
Tigozertinib is a fourth-generation, orally bioavailable, mutant-selective, epidermal growth factor receptor (EGFR) inhibitor, with potential antineoplastic activity. Upon oral administration, tigozertinib targets, binds to and inhibits the activity of EGFR with C797S triple mutations including ex19del/T790M/C797S and L858R/T790M/C797S, thereby preventing EGFR-mediated signaling. This may both induce cell death and inhibit tumor growth in EGFR-overexpressing tumor cells. EGFR, a receptor tyrosine kinase mutated in many tumor cell types, plays a key role in tumor cell proliferation and tumor vascularization. BLU-945 inhibits mutated forms of EGFR with C797S mutation, which prevents covalent bond formation with third-generation EGFR inhibitors leading to drug resistance. BLU-945 may have enhanced anti-tumor effects in tumors with C797S-mediated resistance when compared to other EGFR tyrosine kinase inhibitors.Tigozertinib is a fourth-generation, orally bioavailable, mutant-selective, epidermal growth factor receptor (EGFR) inhibitor, with potential antineoplastic activity. Upon oral administration, tigozertinib targets, binds to and inhibits the activity of EGFR with C797S triple mutations including ex19del/T790M/C797S and L858R/T790M/C797S, thereby preventing EGFR-mediated signaling. This may both induce cell death and inhibit tumor growth in EGFR-overexpressing tumor cells. EGFR, a receptor tyrosine kinase mutated in many tumor cell types, plays a key role in tumor cell proliferation and tumor vascularization. BLU-945 inhibits mutated forms of EGFR with C797S mutation, which prevents covalent bond formation with third-generation EGFR inhibitors leading to drug resistance. BLU-945 may have enhanced anti-tumor effects in tumors with C797S-mediated resistance when compared to other EGFR tyrosine kinase inhibitors.
- First-in-Human, Phase 1b/2a Trial of a Multipeptide Therapeutic Vaccine in Patients With Progressive GlioblastomaCTID: NCT04116658Phase: Phase 1/Phase 2Status: CompletedDate: 2025-11-28
- (SYMPHONY) Phase 1/2 Study Targeting EGFR Resistance Mechanisms in NSCLCCTID: NCT04862780Phase: Phase 1Status: TerminatedDate: 2025-02-10
- A Novel Therapeutic Vaccine (EO2401) in Metastatic Adrenocortical Carcinoma, or Malignant Pheochromocytoma/ParagangliomaCTID: NCT04187404Phase: Phase 1/Phase 2Status: TerminatedDate: 2024-11-12
REF
- Synthesis of BLU-945, an EGFR Mutant Inhibitor for Treatment-Resistant Non-Small-Cell Lung CancerPublication Name: SynfactsPublication Date: 2022-09-20DOI: 10.1055/s-0041-1738705
- Discovery of BLU-945, a Reversible, Potent, and Wild-Type-Sparing Next-Generation EGFR Mutant Inhibitor for Treatment-Resistant Non-Small-Cell Lung CancerPublication Name: Journal of Medicinal ChemistryPublication Date: 2022-07-15PMCID: PMC9340769PMID: 35838760DOI: 10.1021/acs.jmedchem.2c00704
- Effects of antithymocyte serum on lymph node cells participating in the graft-vs-host reactionPublication Name: Cellular ImmunologyPublication Date: 1976-06-01PMID: 7359DOI: 10.1016/0008-8749(76)90132-5
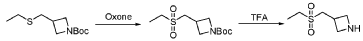
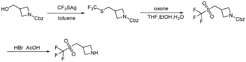
SYN
https://patentscope.wipo.int/search/en/detail.jsf?docId=WO2021133809&_cid=P11-MJ29N8-15768-1
SYN
https://patentscope.wipo.int/search/en/detail.jsf?docId=WO2021133809&_cid=P11-MJ292P-02302-1
Example 5, Compound 117: Synthesis of (3S,4R)-3-fluoro-l-(4-(5-isopropyl-8-((2R,3S)-2-methyl-3-(methylsulfonylmethyl)azetidin-l-yl)isoquinolin-3-ylamino)pyrimidin-2-yl)-4-methylpiperidin-4-ol

To a solution of 3-chloro-8-[(2R,3S)-3-(methanesulfonylmethyl)-2-methylazetidin-l-yl]-5-(propan-2-yl)isoquinoline(28 g,76.3mmol, from step 1 of Example 3), (3R,4S)-l-(4-aminopyrimidin-2-yl)-3-fluoro-4-methylpiperidin-4-ol(17.2g,76.3mmol, peak 1 from Example B12), CS2CO3 (49.8 g, 152 mmol),C-phos (4.27 g, 9.15mmol, 2-dicyclohexylphosphino-2’,6’-bis(N,N-dimethylamino)biphenyl) and Pd2(dba)3 (3.94 g, 3.81 mmol) in dioxane (400 mL) was heated to 100 °C for 16 h under N2 atmosphere. The mixture reaction was filtered and the filtrate was concentration under vacuum. The residue was applied onto a silica gel column with EA/PE (2: 1) to give product 28.8 g (67%) as a light-yellow solid.
OTHERS










PAT
- Crystalline forms of cftr modulatorsPublication Number: US-2025051326-A1
- Small molecule inhibitors of dyrk/clk and uses thereofPublication Number: US-2025051325-A1
- RNAi agents for inhibiting expression of HIF-2 alpha (EPAS1), compositions thereof, and methods of usePublication Number: US-12221610-B2Grant Date: 2025-02-11
- Silicomagnesium-aluminate-hydrate gel and method of preparing the samePublication Number: US-3476692-APriority Date: 1966-02-04Grant Date: 1969-11-04
- InsecticidesPublication Number: DE-1542900-A1Priority Date: 1963-06-22
- Manufacture of conditioning compound for ground meat productsPublication Number: US-2634212-APriority Date: 1951-05-04Grant Date: 1953-04-07
- Kras modulators and uses thereofPublication Number: US-2025051365-A1
- Inhibitors of the myst family of lysine acetyl transferasesPublication Number: US-2025051343-A1
- Novel acid compoundsPublication Number: US-3945994-APriority Date: 1973-02-08Grant Date: 1976-03-23
- Production method of new phosphate ester compoundPublication Number: JP-S5930718-B2Priority Date: 1971-08-17
- Connection of a semiconductor device with a power sourcePublication Number: DE-2015923-A1Priority Date: 1969-04-23
- Ultrasonic doppler instrumentPublication Number: US-3732532-APriority Date: 1967-08-03Grant Date: 1973-05-08
- Electromechanical transducerPublication Number: US-3396285-APriority Date: 1966-08-10Grant Date: 1968-08-06



AS ON OCT2025 4.511 LAKHS VIEWS ON BLOG WORLDREACH AVAILABLEFOR YOUR ADVERTISEMENT

join me on Linkedin
Anthony Melvin Crasto Ph.D – India | LinkedIn
join me on Researchgate
RESEARCHGATE

join me on Facebook
Anthony Melvin Crasto Dr. | Facebook
join me on twitter
Anthony Melvin Crasto Dr. | twitter
+919321316780 call whatsaapp
EMAIL. amcrasto@gmail.com

……
///////////Tigozertinib, antineoplastic, PA4PTH5HL9, BLU 945














