


Sontigidomide
CAS 2560577-69-5
| Molecular Weight | 513.47 |
|---|---|
| Formula | C26H22F3N3O5 |
N-[[2-(2,6-Dioxo-3-piperidinyl)-2,3-dihydro-1-oxo-1H-isoindol-5-yl]methyl]-α-oxo-4-[1-(trifluoromethyl)cyclopropyl]benzeneacetamide
enzeneacetamide, N-[[2-(2,6-dioxo-3-piperidinyl)-2,3-dihydro-1-oxo-1H-isoindol-5-yl]methyl]-α-oxo-4-[1-(trifluoromethyl)cyclopropyl]-
FDD2NVW84X, Sontigidomida
Sontigidomide (Compound 5) is an antineoplastic compound. Sontigidomide inhibits MOLM-13 cell proliferation more than 80% at 1 μM (3 days).
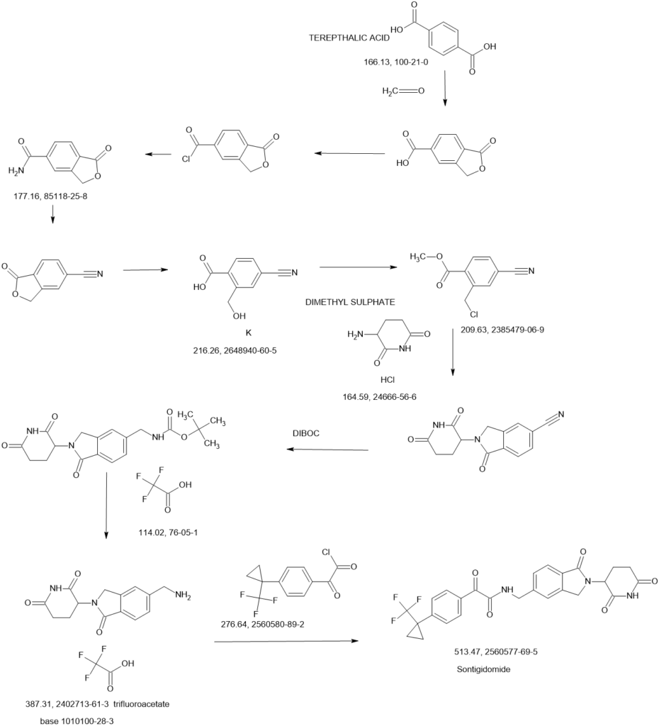
SCHEME
COUPLER………….

MAIN……….

PATENTS
WO2023070120 BioTheryX, Inc.
PATENT
US20200369679
https://patentscope.wipo.int/search/en/detail.jsf?docId=US311579044&_cid=P20-MD87Y5-18242-1
Example 5
Compound I-5: N-((2-(2,6-Dioxopiperidin-3-yl)-1-oxoisoindolin-5-yl)methyl)-2-oxo-2-(4-(1-(trifluoromethyl)cyclopropyl)phenyl)acetamide

Compound I-5 was synthesized as shown in Scheme 5.

To a solution of 3-(5-(aminomethyl)-1-oxoisoindolin-2-yl)piperidine-2,6-dione 8 (80 mg, 0.258 mmol) in DCM (4 mL) at 0° C. was added TEA (52.2 mg, 0.516 mmol). After stirring for 2 min, 2-oxo-2-(4-(1-(trifluoromethyl)cyclopropyl)phenyl)acetyl chloride 13 (71.3 mg, 0.258 mmol) was added and the mixture was stirred at RT for 2 h. After concentration, the residue was purified using prep-HPLC eluting with ACN/H 2O (0.1% TFA) from 10% to 95% to afford compound I-5 (16.1 mg) in 12% yield. MS (ESI) m/z: 514.0 [M+H] +; 1H NMR (400 MHz, DMSO-d 6) δ 10.98 (s, 1H), 9.57 (t, J=6.0 Hz, 1H), 8.03-8.01 (m, 2H), 7.74-7.48 (m, 7H), 5.13-5.09 (m, 1H), 4.59-4.57 (m, 2H), 4.49-4.31 (m, 2H), 2.95-2.87 (m, 1H), 2.63-2.58 (m, 1H), 2.45-2.38 (m, 1H), 2.03-1.99 (m, 1H), 1.43-1.40 (m, 2H), 1.24-1.21 (m, 2H).
- Ketoamides for treating malignancyPublication Number: WO-2023070120-A1Priority Date: 2021-10-22
- Protein-targeting compounds and pharmaceutical compositions thereof, and their therapeutic applicationsPublication Number: US-2020369679-A1Priority Date: 2019-05-24
- Compounds targeting proteins and pharmaceutical compositions thereof, and their therapeutic applicationsPublication Number: WO-2020242960-A1Priority Date: 2019-05-24
- Compounds targeting proteins and pharmaceutical compositions thereof, and their therapeutic applicationsPublication Number: AU-2020283744-A1Priority Date: 2019-05-24
- Targeted protein compound, its pharmaceutical composition and therapeutic applicationPublication Number: CN-114502543-APriority Date: 2019-05-24
- Compounds targeting proteins and pharmaceutical compositions thereof, and their therapeutic applicationsPublication Number: EP-3976623-A1Priority Date: 2019-05-24
- Protein targeting compounds, pharmaceutical compositions thereof and therapeutic applications thereofPublication Number: KR-20220023343-APriority Date: 2019-05-24
- Protein-targeting compounds and pharmaceutical compositions thereof, and their therapeutic applicationsPublication Number: US-11345712-B2Priority Date: 2019-05-24Grant Date: 2022-05-31
- Protein-targeting compounds and pharmaceutical compositions thereof, and their therapeutic applicationsPublication Number: US-2022298172-A1Priority Date: 2019-05-24
////////Sontigidomide, FDD2NVW84X, CANCER, Sontigidomida
..



AS ON JUNE2025 4.45 LAKHS VIEWS ON BLOG WORLDREACH AVAILABLEFOR YOUR ADVERTISEMENT

join me on Linkedin
Anthony Melvin Crasto Ph.D – India | LinkedIn
join me on Researchgate
RESEARCHGATE

join me on Facebook
Anthony Melvin Crasto Dr. | Facebook
join me on twitter
Anthony Melvin Crasto Dr. | twitter
+919321316780 call whatsaapp
EMAIL. amcrasto@gmail.com

……














