
NNC 45-0781
| Molecular Formula | C27H29NO3 |
| Molecular Weight | 415.5241 |
CAS 207277-66-5
- 2H-1-Benzopyran-7-ol, 3,4-dihydro-3-phenyl-4-[4-[2-(1-pyrrolidinyl)ethoxy]phenyl]-, cis-(-)-
- (3S,4R)-3,4-Dihydro-3-phenyl-4-[4-[2-(1-pyrrolidinyl)ethoxy]phenyl]-2H-1-benzopyran-7-ol
2H-1-Benzopyran-7-ol, 3,4-dihydro-3-phenyl-4-(4-(2-(1-pyrrolidinyl)ethoxy)phenyl)-, (3S,4R)-
- OriginatorNovo Nordisk
- ClassOsteoporosis therapies; Pyrrolidines; Small molecules
- Mechanism of ActionSelective estrogen receptor modulators
PATENT
WO 9818776
WO 9818771
WO 2003063859
A quantitative structure activity relationship study on cis-3,4-diaryl hydroxy chromones as high affinity partial agonists for the estrogen receptor
Chemistry: An Indian Journal (2003), 1, (3), 207-214
SYN 1
EP 0937057; WO 9818771, EP 0937060; WO 9818776
http://www.drugfuture.com/synth/syndata.aspx?ID=268276

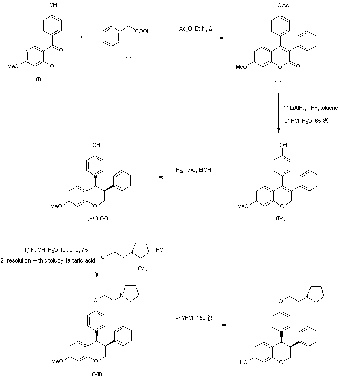
Coumarin (III) was prepared by condensation of benzophenone (I) with phenylacetic acid (II) in the presence of Ac2O and Et3N. Reduction of the lactone function of (III) with LiAlH4, followed by acidic treatment furnished diaryl chromene (IV). Subsequent hydrogenation of (IV) over Pd/C gave rise to the racemic cis chromane (V), which was O-alkylated with 1-(2-chloroethyl) pyrrolidine (VI) producing the corresponding (pyrrolidinyl)ethoxy derivative. Resolution by means of active ditoluoyl tartaric acid yielded the desired (-)-enantiomer (VII). Finally, cleavage of the methoxy group using pyridine hydrochloride at 150 C provided the title compound.
PAPER
Bioorg Med Chem 2002,10(1),125
Abstract
The syntheses and in vitro pharmacological evaluation of a number of cis-3,4-diaryl-hydroxy-chromanes are reported, along with the results of a thorough in vivo profiling of the tissue-selective estrogen partial-agonist NNC 45-0781 [3, (−)-(3S,4R)-7-hydroxy-3-phenyl-4-(4-(2-pyrrolidinoethoxy)phenyl)chromane]. These studies showed that NNC 45-0781 is a very promising candidate for the prevention of post-menopausal osteoporosis, and the treatment of other health issues related to the loss of endogenous estrogen production.
The synthesis and pharmacological evaluation of a series of new tissue-selective estrogens, the cis-3,4-diaryl-hydroxy-chromanes, is described.


(-)-(3S,4R)-7-Hydroxy-3-phenyl-4-(4-(2-pyrrolidinoethoxy)phenyl)chromane (3,=9a).
colorless powder 3, which contained 0.25 mol equiv of ethanol of crystallization; 0.90 g (27% yield),
mp 221–223 C.
1 H NMR (DMSOd6, 400 MHz) d: 1.60–1.73 (m, 4H), 2.40–2.50 (m, 4H), 2.69 (t, 2H), 3.47–3.57 (m, 1H), 3.92 (t, 2H), 4.14–4.25 (m, 2H), 4.32 (dd, 1H), 6.27 (dd, 1H), 6.30 (d, 1H), 6.44 (d, 2H), 6.60 (d, 2H), 6.65 (d, 1H), 6.70–6.80 (m, 2H), 7.09–7.20 (m, 3H), 9.25 (s, 1H).
MS (EI): 415 (M+), 84. HR-MS; calcd for C27H30NO3 (M+H+) 416.2225, found 416.2198. HR-MS; calcd for C28H32NO3 (M+H+) 430.2382, found 430.2376.
Chiral HPLC: Chiradex A, 5m, 2504 mm (Merck) column; eluent, 6:4 methanol/0.2% aqueous triethylammonium acetate buffer, pH=5.2; flow, 0.5 mL/min; UV 220 nm; Rt=19.2 min, >98%ee. Elemental analysis; calcd for C27H29NO3 0.25C2H5OH; C, 77.35; H, 7.20; N, 3.28%; found C, 77.39; H, 7.29; N, 3.12%. [a] 20 D=283 (c=1.004% in ethanol/3M HCl, 80:20). P.
PAPER
A highly enantioselective method for quick access to dihydrocoumarins is reported. The reaction involves a cooperative catalytic process with carbene and in situ generated Brønsted acid as the catalysts. α-Chloro aldehyde and readily available and stable o-hydroxybenzhydryl amine substrates were used to generate reactive azolium ester enolate and ortho-quinone methide (o-QM) intermediates, respectively, to form dihydrocoumarins with exceptionally high diastereo- and enantioselectivities. The catalytic reaction products can be easily transformed to valuable pharmaceuticals and bioactive molecules.
Carbene and Acid Cooperative Catalytic Reactions of Aldehydes and o-Hydroxybenzhydryl Amines for Highly Enantioselective Access to Dihydrocoumarins
/////////////NNC 45-0781
c1ccc(cc1)
















